أحماض التيكويك
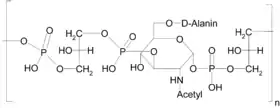
الحُموضٌ التيكوئيكيَّة تكون عبارة عن سكريات عديدة بكتيرية مكمونة من "جلسرول فوسفيت" أو "رابيقول فوسفيت" المرتبط بواسطة رابطة فوسفوداياسترية.[1][2][3]

الموقع والتركيب
الحُموضٌ تيكوئيكيَّة توجد ضمن الجدار الخلوي للبكتيريا إيجابية الغرام كالعنقودية والعقدية وباسيلس (بالإنجليزية: Bacillus) وكلوستريديم (بالإنجليزية: Clostridium) وكورينيباكتيريم (بالإنجليزية: Corynebacterium) وليستيريا (بالإنجليزية: Listeria). لا توجد الحُموضٌ التيكوئيكيَّة في البكتيريا سالبة الغرام، وبإمكانها أن ترتبط مع حمض الإن أسيتال ميوريمك (بالإنجليزية: N-acetylmuramic acid) لطبقة البيبتيدوجلايكان، إلى الدهون للغشاء الخلوي أو إلى الآلانين (بالإنجليزية: alanine) الموجودة التيترا بيبتايد. يُسمَّى الترابط بين الدهون والحُموضٌ التيكوئيكيَّة الأحماض التيكوئيكية الدهنية.
الوظيفة
الوظيفة الأساسية للاحماض تيكوئيكية هي توفير صلابة للجدار الخلوي عن طريق جذب كاتيونات كالمغنسيوم والصوديوم. الأحماض تيكوئيكية عادةً ما يتم استبدالها بالانين وعطي جزي يسمى يحمل صفات زويتيرايونك.هذه الأحماض التيكوئيكية الزويتيرايونكية تكون ربيطة للتول شبيهة المستقبل 2 و4. تعكل أيضاً الأحماض التيكوئيكية كمستقبلات للجزيئات، ومن الممكن ان تعمل كمستقبل للعاثية.
تحلل بكتيريايجابية الغرام وإطلاق الأحماض التيكوئيكية في مجى الدم من الممكن ان يسبب حمى، توسيع الاوعية الدموية وأيضا احتمال ان تسبب الصدمة. الأحماض التيكوئيكية من الممكن استخدامها بواسطة البكتيريا للاتصاص بالغشاء المخاطي.
المراجع
- "معلومات عن أحماض التيكويك على موقع jstor.org". jstor.org. مؤرشف من الأصل في 10 يناير 2020. الوسيط
|CitationClass=تم تجاهله (مساعدة) - "معلومات عن أحماض التيكويك على موقع ebi.ac.uk". ebi.ac.uk. مؤرشف من الأصل في 08 ديسمبر 2019. الوسيط
|CitationClass=تم تجاهله (مساعدة) - "معلومات عن أحماض التيكويك على موقع zthiztegia.elhuyar.eus". zthiztegia.elhuyar.eus. مؤرشف من الأصل في 08 ديسمبر 2019. الوسيط
|CitationClass=تم تجاهله (مساعدة)
- بوابة الكيمياء
- بوابة الكيمياء الحيوية