أراميد
أراميد أحد أصناف الألياف الاصطناعية القوية والمقاومة للحرارة.[1][2][3] يستخدم في التطبيقات العسكرية وصناعة الفضاء، ونسيج تسليح جسم الصواريخ البالستية، وكبديل لمادة الأسبستوس. كيفلر هو اختصار من (ARomatic polyAMIDe). وهي عبارة عن ألياف فيها السلاسل الجزيئية متوجه بدرجة عالية على طول محور الليف، وبالتالي تزداد إمكانية نشوء الروابط الكيمياوية بين السلاسل الجزيئية.

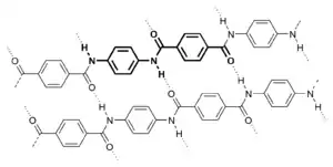
إنتاج ألياف الأراميد
الأراميد Aramid ألياف صناعية مشابهة للنايلون، غير أنها أقوى من الفولاذ. وكما هو الحال في ألياف النيلون يصنع الأراميد من مركبات كيميائية تسمى الأميدات. وترتبط الأميدات بحلقات أروماتية (حلقات من ست ذرات كربون من بينها مع ثلاث روابط كيميائية مزدوجة بين الذرات)، لتكون جزيئات تشبه السلسلة تسمى البوليمرات. ولكن بخلاف الأميدات في النايلون، يتم ربط 85% على الأقل من الأميدات في الأراميدات مباشرة باثنتين من الحلقات الأروماتية.
ويؤدي هذا الترتيب إلى نسيج أكثر قوة وأكثر مقاومة للحرارة من النايلون.
اكتشاف الاراميد
اكتشفت الكيمييائية "ستيفاني كوليك" وكانت تعمل في معامل دو بونت الارميدأثناء تجاربها لإنتاج مادة تصلح لصناعة اطارات السيارات . وقامت أثناء ذلك بإحراء خلطة من مبلمر ومذيب وكالناتج غريبا عن المتوقع . ولم تتكيء على احتمال وقوعها في خطأ، بل تابعت الأمر وأتضح لها انها قد اكتشفت مادة جدية أقوى من الفولاذ.
تغزل ألياف الاراميد ويصنع منها أنسجة قوية جدا. تصنع منها صديري واقي من الرصاص تخد، وعتاد حربي يتسخدم في ا لمعارك. كما لها أغراض مدنية مثل صناعة مضارب التنس وطلاء أواني الطبخ فهو يتحمل الحرارة العالية. كما يسخدم الارميد في صناعة القوارب وصناعة مراوح طاقة الرياح.
وعلاوة على ذلك تستخدم الياف الارميد في صناعة إطارات السيارات .
خصائص ألياف الأراميد
تشارك ألياف الأراميد ميزة توجه السلاسل الجزيئية مع ألياف أخرى تسمى عديد الإثيلين مفرط الوزن الجزيئي، وهذه الخاصية تعطي الأراميد خصائصه المميزة.
- مقاومة جيدة للحك.
- مقاومة جيدة للمذيبات العضوية.
- غير ناقل للكهرباء أو الحرارة.
- لايوجد له نقطة انصهار، وإنما يبدأ التفكك عند درجة حرارة 500 م.
- بطيء الاشتعال.
- قماش متماسك عند درجات الحرارة العالية.
- حساس للحموض والأملاح.
- حساس للأشعة فوق البنفسجية.
- يميل إلى تكون شحنة ساكنة إذا لم يعالج.
بارا أراميد
إن ألياف البارا أراميد مثل كيفلر وتويرن تتميز بما يلي:
- خصائص مميزة بمقارنة نسبة قوتها إلى وزنها.
- معامل يونغ مرتفع.
- متانة عالية.
- زحف منخفض.
- استطالة منخفضة عند الانكسار (3%).
- صعبة الصباغة، تصبغ عادة أثناء تشكيلها.
مراجع
- "معلومات عن أراميد على موقع vocab.getty.edu". vocab.getty.edu. مؤرشف من الأصل في 29 مارس 2020. الوسيط
|CitationClass=تم تجاهله (مساعدة) - "معلومات عن أراميد على موقع ne.se". ne.se. مؤرشف من الأصل في 3 سبتمبر 2019. الوسيط
|CitationClass=تم تجاهله (مساعدة) - "معلومات عن أراميد على موقع d-nb.info". d-nb.info. مؤرشف من الأصل في 08 ديسمبر 2019. الوسيط
|CitationClass=تم تجاهله (مساعدة)
- بوابة الكيمياء
- بوابة علم المواد