أسيتيليد
الأسيتيليدات هو أنيون كربوني له الصيغة −HC≡C، وهو يعد بذلك ملح ألكايني (إيثاينيل) حاوي على رابطة ثلاثية بين ذرتي كربون، حيث توجد الشحنة السالبة على ذرة الكربون الطرفية. يمكن أن تكون الأسيتيليدات مستبدلة، وتكون لها الصيغة العامة −RC≡C، حيث تمثل R مستبدل عضوي، وفي تلك الحالة يحصل عليها من الشكل العضوي الفلزي (HC≡CM).

يشار بالأسيتيليد أيضاً إلى الصيغة C2−2، والتي يمكن أن تفسر على أنها ناتج نزع بروتون مزدوج للأسيتيلين C2H2، وبالتالي فهو نوع كيميائي شديد القاعدية ويتفاعل بسرعة. تكون الصيغة على ذلك الشكل في حالة تساوي إلكتروني مع جزيء النتروجين المعتدل.[1]
أمثلة
من الأمثلة على أسيتيليدات الفلزات مركب أسيتيليد النحاس الأحادي (Cu2C2)، ولكن هناك مركبات لبعض الفلزات تكون حاوية على الرابطة 2−C2 وتصنف ضمن الأسيتيليدات، ولكن يطلق على تسميتها تقليدياً كربيدات، مثل كربيد الليثيوم وكربيد الكالسيوم.
التحضير
تحضر أسيتيليدات الفلزات القلوية من تفاعل مركب عضوي فلزي مع الأسيتيلين في وسط من الأمونياك السائل. على سبيل المثال يحضر أسيتيليد الليثيوم ياستخدام بوتيل الليثيوم،[2] أو مضاعف (ثلاثي ميثيل سيليل) أميد الليثيوم (LiHMDS).[3]
يحضر أسيتيليد النحاس الأحادي من تمرير غاز الأسيتيلين في محلول مائي من كلوريد النحاس الأحادي، أما أسيتيليد الفضة فيمكن الحصول عليه بأسلوب مماثل من نترات الفضة. بأسلوب آخر، يحضر كربيد الكالسيوم من تسخين الكربون مع الجير الحي (أكسيد الكالسيوم CaO) عند درجات حرارة تراوح 2000 °س.
التفاعلات
إن أيونات الأسيتيليدات مهمة جداً في تفاعلات الاصطناع العضوي من أجل تشكيل الروابط كربون-كربون، وخاصة في تفاعلات الإضافة وتفاعلات الاستبدال المحب للنواة.[4]
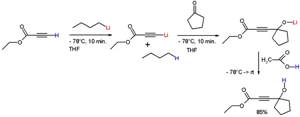
كمثال على ذلك، تفاعل إضافة الأسيتيليدات إلى الكيتونات لتشكيل الكحولات الثالثية. على سبيل المثال، يحدث في المثال أدناه تفاعل نزع بروتون من قسم الألكاين في إيثيل بروبيولات وذلك بواسطة ن-بوتيل الليثيوم عند درجة حرارة مقدارها -78 °س ليشكل إيثيل بروبيولات الليثيوم، والذي يضاف إليه حلقي البنتانون ليشكل بذلك ألكوكسي الليثيوم، بعد ذلك يضاف حمض الخليك من أجل إزالة الليثيوم وتحرير الكحول الثالثي.[5]

اقرأ أيضاً
المراجع
- Sommerfeld, T.; Riss, U.; Meyer, H.-D.; Cederbaum, L. (August 1997). "Metastable C22- Dianion". Physical Review Letters. 79 (7): 1237–1240. doi:10.1103/PhysRevLett.79.1237. الوسيط
|CitationClass=تم تجاهله (مساعدة) - Midland, M. M.; McLoughlin, J. I.; Werley, Ralph T. (Jr.)(1990)."Preparation and Use of Lithium Acetylide: 1-Methyl-2-ethynyl-endo-3,3-dimethyl-2-norbornanol". Org. Synth.68: 14; Coll. Vol. 8: 391.
- Reich, Melanie (Aug 24, 2001). "Addition of a lithium acetylide to an aldehyde; 1-(2-pentyn-4-ol)-cyclopent-2-en-1-ol". ChemSpider Synthetic Pages. صفحة 137. مؤرشف من الأصل في 2 أبريل 2015. اطلع عليه بتاريخ 05 سبتمبر 2010. الوسيط
|CitationClass=تم تجاهله (مساعدة) - Siegfried Hauptmann: Organische Chemie, 2. durchgesehene Auflage, VEB Deutscher Verlag für Grundstoffindustrie, Leipzig, 1985, S. 258−259, ISBN 3-342-00280-8.(بالألمانية)
- Synthesis of alkyl 4-hydroxy-2-alkynoates M. Mark Midland, Alfonso Tramontano, John R. Cable J. Org. Chem.; 1980; 45(1); 28-29. Abstract نسخة محفوظة 9 مارس 2008 على موقع واي باك مشين.
- بوابة الكيمياء
صور وملفات صوتية من كومنز