أمبيسيلين/سولباكتام
الأَمبيسيلِّين Ampicillin والسُّلبَاكتام Sulbactam هما من المُضادَّات الحَيويَّة [2] في مَجموعة البِنسلين أو الأَمينوبِنسلِّين Aminopenicillin. يُستعمَل هذا الدَّواءُ لمعالجة أنواع مختلفَة من العَدوى الجُرثومية.
| أمبيسيلين/سولباكتام | |
|---|---|
| مزيج من | |
| أمبيسيلين | بنسلين مضاد حيوي |
| سولباكتام | مثبط بيتالاكتام |
| اعتبارات علاجية | |
| مدلاين بلس | a693021 |
| معرّفات | |
| ك ع ت | J01J01CR01 CR01 |
| بوب كيم | CID 656676 |
| كيم سبايدر | 10482157 |
| الصيغة الكيميائية | C₂₄H₂₈N₄Na₂O₉S₂[1] |
يُعطى الدَّواءُ بجرعات مختلفة حسب الحالة وطبيعَة العَدوى وعمر المَريض وتوصِيات الطَّبيب؛ ففي الالتهاب الرِّئوي، يُعطى بمقدار 1,5-3 غ عن طَريق الوَريد أو العَضَل كلَّ 6-8 ساعات؛ وينبغي أن تستمرَّ المعالجةُ سبعة أيَّام عندَ الاشتباه بالالتهاب الرِّئوي النَّاجِم عن المكوَّرات الرِّئويَّة pneumococcal pneumonia، ولمدَّة 21 يوماً إذا كان السَّببُ جَراثيمَ أخرى. أمَّا عندَ الرضَّع والأطفال، فيُعطى الدَّواء بمقدار 50-100 ملغ/كغ من الأَمبيسيلِّين عن طَريق الوَريد كلَّ 6 ساعات، والجرعةُ القصوى هي 12 غ/اليوم حسب الحالة وشدَّتها وطبيعتها.
الكيمياء
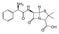
مشتق الأمبيسلين الصوديومي من نواة البنسلين الأساسية، وحمض 6-aminopenicillanic. اسمه الكيميائي هو أحادي الصوديوم(2S, 5R, 6R)-6-[(R)-2-amino-2-phenylacetamido]-3,3-dimethyl-7-oxo-4-thia-1-azabicyclo[3.2.0]heptane-2-carboxylate. ، لديه الوزن الجزيئي 371.39 غرام، والصيغة الكيميائية هي (C16H18N3NaO4S)[3] سُّلبَاكتام الصوديوم هو أيضا أحد مشتقات 6-aminopenicillanic acid.كيميائيا، يعرف ب صوديوم بنسيلينات سلفون أو صوديوم (2S, 5R)-3,3-dimethyl-7-oxo-4-thia-1-azabicyclo[3.2.0]heptane-2-carboxylate 4,4-dioxide. لديه الوزن الجزيئي 255.22 غرام، والصيغة الكيميائية هي C8H10NNaO5S.[3]
![]() | ![]() | ![]() |
| الصيغة البنائية للأمبيسيلين | الصيغة البنائية للسولباكتام | الصيغة البنائية للسولتاميسيلين, تسليط الضوء على الأمبيسلين باللون الأزرق والسُّلبَاكتام باللون البرتقالي. |
علاجية الدواء / حركية الدواء
إضافة السُّلبَاكتام إلى الأمبيسلين يعزز آثار الأمبيسلين. وهذا يزيد من نشاط مضادات الميكروبات بحوالي 4- إلى 32 ضعف بالمقارنة مع الأمبيسلين وحده[4] الأمبيسلين هو مضاد حيوي مرتبط بالزمن. قتله البكتيري يرتبط إلى حد كبير على الوقت الذي تكون فيه تركيزات الدواء في الجسم فوق تركيز المثبط الأدنى (MIC). وبالتالي فإن مدة التعرض تتوافق مع كيف سيحدث قتل البكتيريا . وقد أظهرت الدراسات المختلفة أنه، للحصول على أقصى قتل للبكتيريا، يجب أن يكون تركيز الدواء أعلاه MIC إلى 50-60٪ من الوقت لمجموعة البنسلين من المضادات الحيوية. [5]
آلية عمل الدواء
- يُضعِفُ الأَمبيسيلِّين الرَّوابطَ التي تُمسِك جدارَ الخلية الجُرثومية. وهذا ما يسمح بظهور ثقوب في جدران الخلايا الجُرثوميَّة، مع العلم أنَّ جدران الخلايا هي حيوية لبقائها. إذاً، يعمل الدَّواءُ عن طريق التداخل مع قدرة الجراثيم على تَشكيل جدران الخلايا.
- السُّلبَاكتام هو نوعٌ من الأدوية المعروفة باسم مثبِّطات بيتا اللاكتاماز beta-lactamase. ويجري تَضمينُه في هذا الدَّواء لأنَّه يَحول دون عمل إنزيم بيتا اللاكتاماز الذي تُنتجه بعض الجراثيم، وبذلك يحمى الأَمبيسيلِّين من التخريب بالمِكروب.
التاريخ
إدخال واستخدام الأمبيسلين بمفرده بدأ في عام 1961.[6]
الاستخدام الطبي
- البكتيريا موجبة الجرام : المكورات العنقودية الذهبية (منتجات البيتا لاكتاماز وغير البيتا لاكتاماز )، المكورات العنقودية البشرة (منتجة بيتا لاكتاماز وغير بيتا لاكتاماز )، المكورات العنقودية saprophyticus (منتجات البيتا لاكتاماز وغير البيتا لاكتاماز ) ، العقدية البرازية (المعوية)، العقدية الالتهاب الرئوي والعقدية المقيحة، وviridians العقدية.
[3][7] الإنتانات الناجمة عن الجراثيم المنتجة للبيتالاكتاماز مثل:
- إنتانات الطرق التنفسية السفلية.
- التهاب الأذن الوسطى.
- التهاب الجيوب.
- إنتانات الجلد والأنسجة الرخوة.
- إنتانات الطرق البولية والتناسلية.
- إنتانات الطرق الصفراوية.
- التهاب المعدة والأمعاء.
- التهاب الهلل.
- الراعوم.
- القريح.
- عضات الحيوانات.
الآثار الجانبية
- غثيان.
- إسهال.
- طفح.
- نادراً: التهاب قولون مترافق مع تناول الصاد الحيوي.[8]
مراجع
- وصلة : معرف بوب كيم — الرخصة: محتوى حر
- Ampicillin/sulbactam - Wikipedia, the free encyclopedia
- Pamphlet Pfizer. Unasyn® (ampicillin sodium/sulbactam sodium) prescribing information. New York, NY; Updated May 2014.
- Rafailidis PI, Ioannidou EN, Falagas ME. (2007). "Ampicillin/Sulbactam Current Status in Severe Bacterial Infections". Drugs. 67 (13): 1829–1849. doi:10.2165/00003495-200767130-00003. PMID 17722953. الوسيط
|CitationClass=تم تجاهله (مساعدة)صيانة CS1: أسماء متعددة: قائمة المؤلفون (link) - Pharmacokinetics of an ampicillin–sulbactam combination after intravenous and intramuscular administration to neonatal calves نسخة محفوظة 16 ديسمبر 2019 على موقع واي باك مشين.
- Acred P, Brown DM, Turner DH; et al. (April 1962). "Pharmacology and chemotherapy of ampicillin--a new broad-spectrum penicillin". Br J Pharmacol Chemother. 18 (2): 356–369. doi:10.1111/j.1476-5381.1962.tb01416.x. PMC 1482127. PMID 13859205. الوسيط
|CitationClass=تم تجاهله (مساعدة)صيانة CS1: أسماء متعددة: قائمة المؤلفون (link) - Clinical and Laboratory Standard Institute (CLSI). Performance Standards for Antimicrobial Disk Diffusion Susceptibility Tests; Approved Standard – 11th ed. CLSI document M02-A11. CLSI, 950 West Valley Rd., Suite 2500, Wayne, PA 19087, 2012.
- Ampicillin/sulbactam: Indications, Side Effects, Warnings - Drugs.com نسخة محفوظة 20 أغسطس 2016 على موقع واي باك مشين.
- بوابة الكيمياء
- بوابة صيدلة
- بوابة طب


