أنثراكينون
أنثراكينون هو مركب عضوي عطري.[3][4][5] وهو مشتق من الأنثراسين. وهي مسحوق متبلور صلب أصفر اللون أو رمادي فاتح إلى رمادي مخضر.
| أنثراكينون | |
|---|---|
![]() أنثراكينون | |
![]() أنثراكينون | |
| الاسم النظامي (IUPAC) | |
Anthraquinone | |
| المعرفات | |
| رقم CAS | 84-65-1 |
| بوب كيم | 6780 |
مواصفات الإدخال النصي المبسط للجزيئات
| |
| الخواص | |
| الصيغة الجزيئية | C14H8O2 |
| الكتلة المولية | 208.21 غ/مول |
| الكثافة | 1.31 غ/سم3 |
| نقطة الانصهار | 286 °س |
| نقطة الغليان | 380 °س |
| في حال عدم ورود غير ذلك فإن البيانات الواردة أعلاه معطاة بالحالة القياسية (عند 25 °س و 100 كيلوباسكال) | |
الخواص الفيزيائية
إن الأنثراكينون نصف منحل في الماء ولكنه ينحل تماما في الكحول، النتروبنزين، والأنيلين. وهو مستقر كيميائيًا تمامًا تحت الشروط العادية.
تواجده في الطبيعة
يوجد الأنثراكينون طبيعيًا في بعض النباتات (مثال: aloe latex، ونبات سنا، ونبات راوند، ونبات القشرة المقدسة)، والفطور، والشيبيات، والحشرات، حيث تستخدمها في بنية خضبها. ولمشتقات الأنثراكينون الطبيعية تأثيرات مسهلة.
التطبيقات الصناعية
يستخدم الأنثراكينون في إنتاج الأصبغة، مثل الأليزارين. والعديد من الخضب الطبيعية هي من مشتقات الأنثراكينون. ويستخدم الأنثراكينون أيضًا كمحفز في إنتاج لب الخشب في صناعة الورق والعجينة الورقية. كما يستخدم أيضًا كمنفر للطيور عن الحبوب.

التطبيقات الطبية
قام باحثون في كلية الصيدلة جامعة ووسوك بكوريا الجنوبية بإثبات تأثير الأنثراكيونون المثبط على فوسفاتيز تجديد الكبد-3 والذي تنتجه الخلايا السرطانية، وأصوا بضرورة أخذ التأثير المثبط للأنثراكيونون المستخرج من نبات روبيا أكاني على مقاومة الخلايا السرطانية وضرورة تضمينها في علاجات السرطان المستقبلية
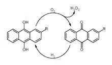
كما يستخدم إحدى مشتقات الأنثراكينون (2-إثيل أنثراكينون) في إنتاج بيروكسيد الهيدروجين تجاريًا.
اقرأ أيضاً
مراجع
- معرف بوب كيم: https://pubchem.ncbi.nlm.nih.gov/compound/6780 — تاريخ الاطلاع: 19 نوفمبر 2016 — العنوان : ANTHRAQUINONE — الرخصة: محتوى حر
- معرف بوب كيم: https://pubchem.ncbi.nlm.nih.gov/compound/6780
- Dudding, Adam (29 July 2012). "How to solve a problem like a kea". Sunday Star Times. New Zealand. مؤرشف من الأصل في 11 ديسمبر 2018. اطلع عليه بتاريخ 11 نوفمبر 2014. الوسيط
|CitationClass=تم تجاهله (مساعدة) - Macleod, L. C.(1934)."Benzanthrone". Org. Synth.14: 4; Coll. Vol. 2: 62.
- www.americanheritage.comنسخة محفوظة June 9, 2009, على موقع واي باك مشين.
- بوابة الكيمياء
- بوابة زراعة
صور وملفات صوتية من كومنز

