إحصاء فيرمي ديراك
إحصاء فيرمي ديراك في الفيزياء ، يرجع لإنريكو فيرمي وبول ديراك كمؤسسين لهذا الإحصاء المتتبع من طرف الفرميونات . هذا الإحصاء يعتبر دالة توزيعية أوجداها منفردين وتحكم احتمالية تواجد إلكترون ما يملك طاقة معينة في حالة كمومية ، ولا يقتصر التوزيع على الإلكترونات فقط بل ذلك يشمل جل وسائر جسيمات الشق الأول من الأجسام المتماثلة و همالفرميونات الذاعنة لمبدأ باولي للاستبعاد أو ذات المسمى نصفيات المغزل ، و كذا الشق الثاني من الجسيمات المسماة بالبوزونات التي تعد جسيمات صحيحة المغزل كالفوتونات وتخضع بدورها لإحصاء بوز أينشتاين كبديل لإحصاء فيرمي ديراك الي يختص في دراسة الجسيمات المفرمنة(الفرميونات) .[1][2][3]
يجدر الانتباه إلى نقطة غاية في الأهمية هنا وهي إن امتلاك فرميون لطاقة ما، لا تعني إطلاقا أنه سيستحوذ على مستوى الطاقة الكاملة المقابلة (الحالة الكمومية) ، بل يجب أن ندرس كذلك شغور هذا المستوى عن طريق حساب كثافة المستويات عند هذا المستوى المحدد دراسيا .
و بتعميم هذا المبدأ ينتج لنا أن حساب تركيز الفرميونات في مستوى طاقة ما يعتمد بشكل أساسي على مرتكزين أساسيين هما كالتالي :
- كثافة المستويات : عدد الأماكن الخالية في هذا المستوى.
- إحصاء فيرمي ديراك : عدد الفرميونات التي تملك طاقة تبلّغها هذا المستوى أو عدد الجسيمات المفرمنة التي تملك طاقة أكبر وتتيح لها بلوغ المستوى المحدد لها .
الصياغة الرياضية
ينجح هذا الإحصاء عند تواجد التوازن الحراري في تخمين عدد الإلكترونات التي تملك طاقة E حسب القانون التالي:
حيث:
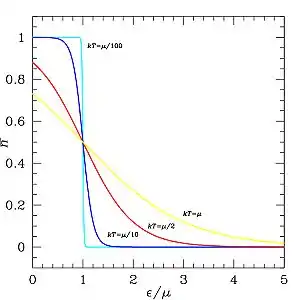
الرسم البياني
عند الصفر المطلق يكون التوزيع على هيئة دالة خطوة:
ما معناه أن عند درجة الصفر المطلق:
- احتمالية وجود إلكترون عندمستوى طاقة أقل من طاقة فيرمي هي 100 %
- احتمالية وجود إلكترون عند مستوى طاقة تساوي طاقة فيرمي هي 50 %
- احتمالية وجود إلكترون عند مستوى طاقة أعلى من فيرمي هي 0 %
لكن هذه الاحتماليات تبعا لدرجة الحرارة كما يوضح الرسم.

عند 0 كلفن, يأخذ خط الرسم قيمة صفرية عند طاقات أعلى من طاقة فيرمي مشيرا لإستحالة وجود إلكترون فوق مستوى فيرمي, لكن ارتفاع درجة الحرارة يعود بطاقة حرارية للإلكترون تساعده على تجاوز خط فيرمي فيبدأ الرسم بالانحناء ليشير إلا أن احتمالية تواجد إلكترون فوق فيرمي باتت أعلى من الصفر، وكلما زادت الحرارة زادت الإلكترونات المتخطية لخط فيرمي، وزاد انحناء الرسم.
ييجد هذا الإحصاء تطبيقا في الحياة العملية في أشباه الموصلات وهو أحد مداخل دراسة النبائط وأساسي تماما في فهم فكرة تصنيع وصلة م س. لكن كما سلف ذكره، ليس التوزيع حصرا على الإلكترونات بل يستوعب كل الفرميونات, فالفجوات ذات الشحنة الموجبة تخضع كذلك لهذا التوزيع، وتملك توزيعا مشابها لما في الرسم لكن بشكل يناظره حول خط فيرمي.
مراجع
- Dirac, Paul A. M. (1926). "On the Theory of Quantum Mechanics". Proceedings of the Royal Society A. 112 (762): 661–77. Bibcode:1926RSPSA.112..661D. doi:10.1098/rspa.1926.0133. JSTOR 94692. الوسيط
|CitationClass=تم تجاهله (مساعدة) - Mukai, Koji; Jim Lochner (1997). "Ask an Astrophysicist". NASA's Imagine the Universe. NASA Goddard Space Flight Center. مؤرشف من الأصل في 20 يناير 2009. الوسيط
|CitationClass=تم تجاهله (مساعدة) - Sommerfeld, Arnold (1927-10-14). "Zur Elektronentheorie der Metalle" [On Electron Theory of Metals]. علوم الطبيعة (باللغة الألمانية). 15 (41): 824–32. Bibcode:1927NW.....15..825S. doi:10.1007/BF01505083. الوسيط
|CitationClass=تم تجاهله (مساعدة)
- بوابة ميكانيكا الكم
- بوابة الفيزياء