اصطناع كنور
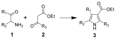
اصطناع كنور للبيرول أو (تخليق كنور) هو تفاعل كيميائي لاصطناع وتحضير مركبات البيرول المستبدلة المركب (3) [1][2][3] هذه الطريقة تتضمن تفاعل α-أمينو الكيتون (1) مع مركب يحوي مجموعة ميثيلين بالموقع α (أي مرتبطة بالكربون المجاور) بالنسبة لمجموعة الكربونيل (2) .[4] .

The Knorr pyrrole synthesis
الطريقة
آلية التفاعل تتطلب وجود الزنك وحمض الخليك كحفازات. يجري التفاعل عند درجة حرارة الغرفة. لأن مركبات α-أمينو الكيتونات تتكاثف بسهولة لذا يجب أن تحضر في وسط التفاعل. عادة ما يتم ذلك باستخدام الأكسيم.[5][6]
طالع أيضاً
المراجع
- Knorr, L. Chemische Berichte 1884, 17, 1635.
- Knorr, L. Ann. 1886, 236, 290.
- Knorr, L.; Lange, H. Chemische Berichte 1902, 35, 2998.
- Corwin, A. H. Heterocyclic Compounds 1950, 1, 287. (Review)
- Fischer, H. Organic Syntheses, Coll. Vol. 2, p.202 (1943); Vol. 15, p.17 (1935). (Article) نسخة محفوظة 28 يوليو 2012 على موقع واي باك مشين. [وصلة مكسورة]
- Fischer, H. Organic Syntheses, Coll. Vol. 3, p.513 (1955); Vol. 21, p.67 (1941). (Article) نسخة محفوظة 28 يوليو 2012 على موقع واي باك مشين. [وصلة مكسورة]
- بوابة الكيمياء
This article is issued from Wikipedia. The text is licensed under Creative Commons - Attribution - Sharealike. Additional terms may apply for the media files.