بتيرين
البتيرين مركب حلقي غير متجانس صيغته C6H5N5O وهو مشتق من البتيريدينات.
| بتيرين | |
|---|---|
![]() بتيرين | |
| الاسم النظامي (IUPAC) | |
2-aminopteridin-4(3H)-one | |
| المعرفات | |
| CAS | 2236-60-4 |
| بوب كيم | 73000 |
مواصفات الإدخال النصي المبسط للجزيئات
| |
| الخواص | |
| الصيغة الجزيئية | C6H5N5O |
| الكتلة المولية | 163.14 غ/مول |
| المظهر | صلب بلوري أصفر شاحب |
| في حال عدم ورود غير ذلك فإن البيانات الواردة أعلاه معطاة بالحالة القياسية (عند 25 °س و 100 كيلوباسكال) | |
تسمى المركبات المشتقة من البتيرين باسم بتيرينات؛ وقد عزلت لأول مرة من الخضاب الطبيعي الموجود في أجنحة بعض أنواع الفراشات،[3] ومن هنا أتت التسمية، إذ أن كلمة πτερόν (بترون) تعني جناح في الإغريقية.
التحضير
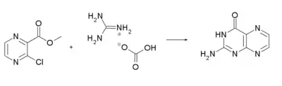
يمكن أن تتم عملية التحضير من تفاعل الإستر الميثيلي لكربوكسيل 3-كلورو البيرازين مع كربونات الغوانيدينيوم الهيدروجينية.[4]

أو من تفاعل 5,4,2-ثلاثي أمينو-6-هيدروكسي البيريميدين مع الغليوكسال:[5]

معرض صور
طالع أيضاً
مراجع
- معرف بوب كيم: https://pubchem.ncbi.nlm.nih.gov/compound/73000 — تاريخ الاطلاع: 18 نوفمبر 2016 — العنوان : 2-Amino-4-hydroxypteridine — الرخصة: محتوى حر
- معرف بوب كيم: https://pubchem.ncbi.nlm.nih.gov/compound/73000
- Wijnen B1, Leertouwer HL, Stavenga DG. Colors and pterin pigmentation of pierid butterfly wings. J Insect Physiol. 2007 Dec;53(12):1206-17. Epub 2007 Jul 1 نسخة محفوظة 31 أكتوبر 2018 على موقع واي باك مشين.
- G. P. G. Dick, H. C. S. Wood: Pteridine derivatives. Part I. A new synthesis of 2-amino-4-hydroxypteridines. In: Journal of the Chemical Society (Resumed). 1955, S. 1379, doi:10.1039/JR9550001379.
- J. H. Mowat, J. H. Boothe, B. L. Hutchings, E. L. R. Stokstad, C. W. Waller, R. B. Angier, J. Semb, D. B. Cosulich, Y. SubbaRow: The Structure of the Liver L. casei Factor in J. Am. Chem. Soc. 70 (1948) 14–18, doi:10.1021/ja01181a005.
- Jaramillo, P.; Coutinho, K.; Canuto, S.: Solvent Effects in Chemical Processes. Water-Assisted Proton Transfer Reaction of Pterin in Aqueous Environment in The Journal of Physical Chemistry A, 113 (2009) 12485–12495. doi:10.1021/jp903638n.
- بوابة الكيمياء الحيوية
- بوابة الكيمياء
This article is issued from Wikipedia. The text is licensed under Creative Commons - Attribution - Sharealike. Additional terms may apply for the media files.






