براكتولول
براكتولول وهو أحد حاصرات المستقبل بيتا الودي[2][3] والذي استخدم سابقا في علاج اضطراب النظم القلبي الطارئ. لم يعد يستخدم بسبب سميته العالية رغم تركيبة الشبيه ببروبرانولول، وهو حاليا من الأدوية الممنوعة.[4]
| براكتولول | |
|---|---|
| اعتبارات علاجية | |
| معرّفات | |
| CAS | 6673-35-4 |
| ك ع ت | C07AB01 |
| بوب كيم | 4883 |
| ECHA InfoCard ID | 100.027.012 |
| درغ بنك | 01297 |
| كيم سبايدر | 4715 |
| المكون الفريد | SUG9176GRW |
| كيوتو | D05587 |
| ChEMBL | CHEMBL6995 |
| بيانات كيميائية | |
| الصيغة الكيميائية | C₁₄H₂₂N₂O₃[1] |
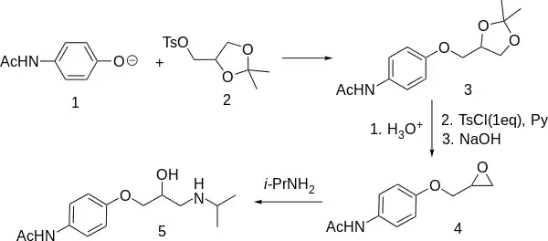
التخليق

Practolol synthesis:[5] Howe, Smith, NL 6512676; eidem, U.S. Patent 3٬408٬387 (1966, 1968, to I.C.I.).
المصادر
- معرف بوب كيم: https://pubchem.ncbi.nlm.nih.gov/compound/4883 — تاريخ الاطلاع: 17 نوفمبر 2016 — العنوان : practolol — الرخصة: محتوى حر
-
BARRETT, A.M.; et al. (June 1973). "A new type of cardioselective adrenoceptive blocking drug". Br J Pharmacol. 48 (2): 340P. PMC 1776195. PMID 4147428. الوسيط
|CitationClass=تم تجاهله (مساعدة) - DUNLOP, D.; et al. (January 1968). "SELECTIVE BLOCKADE OF ADRENOCEPTIVE BETA RECEPTORS IN THE HEART drug" (PDF). Br. J. Pharmac. Chemother. 32 (1): 201–218. doi:10.1111/j.1476-5381.1968.tb00444.x. PMC 1570292. PMID 4384337. مؤرشف من الأصل (PDF) في 20 سبتمبر 2018. اطلع عليه بتاريخ 15 يونيو 2015. الوسيط
|CitationClass=تم تجاهله (مساعدة) - "Drugs banned in India". Central Drugs Standard Control Organization, Dte.GHS, Ministry of Health and Family Welfare, Government of India. مؤرشف من الأصل في 27 ديسمبر 2015. اطلع عليه بتاريخ 17 سبتمبر 2013. الوسيط
|CitationClass=تم تجاهله (مساعدة) - Danilewicz, J. C.; Kemp, J. E. G. (1973). "Absolute configuration by asymmetric synthesis of (+)-1-(4-acetamidophenoxy)-3-(isopropylamino)propan-2-ol) (practolol)". Journal of Medicinal Chemistry. 16 (2): 168. doi:10.1021/jm00260a020. PMID 4405110. الوسيط
|CitationClass=تم تجاهله (مساعدة)
- بوابة الكيمياء
- بوابة صيدلة
This article is issued from Wikipedia. The text is licensed under Creative Commons - Attribution - Sharealike. Additional terms may apply for the media files.