بنزألدهيد
بنزألدهيد (أو بنزالديهايد) هو مركب عضوي صيغته الكيميائية (C6H5CHO) يتألف من حلقة بنزين ومجموعة الفورميل المعوضة. وهو أبسط الألديهيدات العطرية وأكثرها فائدة في المجالات الصناعية. لهذا السائل عديم اللون رائحة مميزة تشبه رائحة اللوز، وفي الواقع فإن البنزألدهيد هو المركب الأساسي في زيت اللوز المر، ويمكن استخلاصه من عدد من المصادر الطبيعية الأخرى. استخلص البنزألدهيد من اللوز المر سنة 1803 على يد الصيدلاني الفرنسي مارتيرز، وفي سنة 1832 تمكن الكيميائيان الألمانيان فريدرش فولر ويوستوس فون ليبيغ من تصنيع البنزألدهيد لأول مرة.
| بنزألدهيد | |
|---|---|
![]() بنزألدهيد |
![]() بنزألدهيد |
| الاسم النظامي (IUPAC) | |
Benzaldehyde | |
| تسمية الاتحاد الدولي للكيمياء | |
Benzenecarbaldehyde | |
| المعرفات | |
| رقم CAS | 100-52-7 |
| بوب كيم (PubChem) | 240 |
مواصفات الإدخال النصي المبسط للجزيئات
| |
| |
| الخواص | |
| صيغة كيميائية | C7H6O |
| كتلة مولية | 106.12 غ.مول−1 |
| المظهر | عديم اللون أو سائل ضارب إلى الصفرة انكساري قوي |
| الرائحة | شبيهة باللوز |
| الكثافة | 1.0415 غ/مل، سائل |
| نقطة الانصهار | -26 °س، 247 °ك، -15 °ف |
| نقطة الغليان | 178.1 °س، 451 °ك، 353 °ف |
| الذوبانية في الماء | .695 غ/100 مل |
| الذوبانية | soluble in liquid أمونياك |
| log P | 1.48 |
| حموضة (pKa) | 14.90 |
| معامل الانكسار (nD) | 1.5456 |
| اللزوجة | 1.321 cP (25 °C) |
| كيمياء حرارية | |
| الحرارة القياسية للتكوين ΔfH |
−36.8 كيلوجول/مول |
| تغير الإنتالبي القياسي للاحتراق ΔcH |
−3525.1 كيلوجول/مول |
| المخاطر | |
| صحيفة بيانات سلامة المادة | J. T. Baker |
| ترميز المخاطر | Harmful (Xn) |
| توصيف المخاطر | |
| تحذيرات وقائية | |
| NFPA 704 |
2
3
1
|
| حدود الاشتعال | 1.4-8.5% |
| LD50 | 1300 mg/kg (rat, oral) |
| مركبات متعلقة | |
| مركبات ذات علاقة | كحول بنزيلي حمض البنزويك |
| في حال عدم ورود غير ذلك فإن البيانات الواردة أعلاه معطاة بالحالة القياسية (عند 25 °س و 100 كيلوباسكال) | |
التواجد
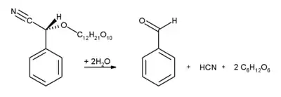
يحتوي اللوز والمشمش والتفاح ونواة الكرز على كميات جيدة من الأميغدالين، ويتكسر هذا الغليكوزيد بتحفيز إنزيمي إلى بنزألدهيد وسيانيد الهيدروجين وجزيئتي جلوكوز.
يساهم البنزألدهيد في رائحة المحاري الشائع
التفاعلات
يتأكسد البنزألدهيد إلى حمض البنزويك عديم الرائحة وهو شائبة شائعة في النماذج المختبرية. ويمكن تحضير كحول البنزيل عن طريق هدرجة البنزألدهيد. وينتج حمض السيناميك من تفاعل البنزألدهيد مع خلات الصوديوم اللامائية وأنهدريد الخليك، بينما يستخدم سيانيد البوتاسيوم الكحولي لتحفيز تفاعل تكاثف البنزألدهيد إلى البنزوين. يتفاعل البنزألدهيد بشكل غير متكافئ عند معاملته بقلوي مركز تفاعل كانيزارو حيث تختزل إحدى جزيئتي الألديهيد إلى الكحول المقابل، وتتأكسد الجزيئة الأخرى في نفس اللحظة إلى بنزوات الصوديوم.



