بوتوكونازول
بوتوكونازول Butoconazole هو دواء مضاد فطري (الأسماء التجارية Gynazole-1, Mycelex-3) من مشتقات الإيميدازول. يستخدم في الطب النسائي ككريم مهبلي.[2][3]
| بوتوكونازول | |
|---|---|
![]() | |
| الاسم النظامي | |
| 1-[4-(4-Chlorophenyl)-2-(2,6-dichlorophenyl)sulfanylbutyl]imidazole | |
| يعالج | |
| اعتبارات علاجية | |
| اسم تجاري | Gynazole-1, Mycelex-3 |
| ASHPDrugs.com | أفرودة |
| مدلاين بلس | a682012 |
| فئة السلامة أثناء الحمل | C (الولايات المتحدة) |
| طرق إعطاء الدواء | Vaginal cream |
| معرّفات | |
| CAS | 67085-13-6 |
| ك ع ت | G01G01AF15 AF15 |
| بوب كيم | CID 47472 |
| درغ بنك | DB00639 |
| كيم سبايدر | 43192 |
| المكون الفريد | 0Q771797PH |
| كيوتو | D00880 |
| ChEBI | CHEBI:3240 |
| ChEMBL | CHEMBL1295 |
| بيانات كيميائية | |
| الصيغة الكيميائية | C19H17Cl3N2S |
| الكتلة الجزيئية | 411.776 g/mol |
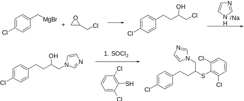
التخليق

المراجع
- معرف المصطلحات المرجعية بملف المخدرات الوطني: https://bioportal.bioontology.org/ontologies/NDFRT?p=classes&conceptid=N0000147742 — تاريخ الاطلاع: 13 ديسمبر 2016
- Seidman, L. S.; Skokos, C. K. (2005). "An evaluation of butoconazole nitrate 2% site release vaginal cream (Gynazole-1) compared to fluconazole 150 mg tablets (Diflucan) in the time to relief of symptoms in patients with vulvovaginal candidiasis". Infectious diseases in obstetrics and gynecology. 13 (4): 197–206. doi:10.1080/10647440500240615 (غير نشط 2015-11-17). PMC 1784583. PMID 16338779. الوسيط
|CitationClass=تم تجاهله (مساعدة) - Butoconazole أفرودة
- Walker, Keith A. M.; Braemer, Allen C.; Hitt, Sharon; Jones, Richard E.; Matthews, Thomas R. (1978). "1-[4-(4-Chlorophenyl)-2-(2,6-dichlorophenylthio)-n-butyl]-1H-imidazole nitrate, a new potent antifungal agent". Journal of Medicinal Chemistry. 21 (8): 840. doi:10.1021/jm00206a028. PMID 357722. الوسيط
|CitationClass=تم تجاهله (مساعدة)
- بوابة طب
- بوابة صيدلة
- بوابة الكيمياء
This article is issued from Wikipedia. The text is licensed under Creative Commons - Attribution - Sharealike. Additional terms may apply for the media files.
