بولي يوريثان
بولي يوريثان[1] أو متعدد اليوريثان (بالإنجليزية: polyurethane) هو أيّ مكثور يتكون من سلسلة من الوحدات العضوية المربوطة بجذر يوريثان. الاختصار الشائع له PU. يُستخدَم كعازل لإعطاء متانة وحماية للأجسام التي يغطيها من الحرارة أو البرودة أو من التآكل جراء الاستخدامات المكثفة.

.jpg.webp)
تاريخ تصنيعه
قام أوتو باير وزملاؤه في إي غه فاربن في ليفركوزن بألمانيا بتصنيع البوليوريثان لأول مرة في عام 1937.[2][3] كان للبوليمرات الجديدة بعض المزايا عن اللدائن الموجودة التي تم تصنيعها عن طريق بلمرة الأولفينات أو عن طريق مبلمرات التكثيف، ولكنها لم تندرج تحت براءات الاختراع التي حصل عليها والاس هيوم كاروثرز لتصنبعه البوليستر.[4] تم التركيز على الأعمال المبكرة لإنتاج الألياف والرغاوي المرنة والبولي يوريثان على نطاق محدود كطلاء للطائرات خلال الحرب العالمية الثانية.[4] أصبحت البوليسوسيانات متاحة تجاريًا في عام 1952، وبدأ إنتاج لدائن البولي يوريثان المرنة في عام 1954 باستخدام التولوين ديسوسيانات (تي دي آي) والبوليستر. كما استُخدمت هذه المواد لإنتاج رغوات جامدة ومطاط اللثة ولدائن البوليمر المرن، وأُنتجت أيضًا الألياف الخطية من الهيكساميثيلين دايزيوسيانات (HDI) والبيوتانديول(BDO).
أدخلت شركة دوبونت دو بونت في عام 1956 البولي إيثر بولييول، وبالتحديد التيتراميثيلين إيثر، وبدأت شركة باسف وشركة داو كيميكال ببيع البوليسيكلين جليكول في عام 1957. كان البولي إيثر بولييول أرخص وأسهل في التعامل، كما كان أكثر مقاومةً للمياه من البوليستر بوليول، وأصبح أكثر شعبية. كما بدأت كل من شركة يونيون كاربايد وموباي، وهي شركة مشتركة ضمن شركات مونسانتو الأمريكية وشركة باير، في صنع مواد كيماوية متعددة اليوريثان.[5] وفي عام 1960، أُنتج أكثر من 45000 طن متري من رغاوي البولي يوريثان المرنة. سمح توافر عوامل نفخ الكلوروفلوروكان، البولي إيثر بولييول، والميثيلين دايفينيل باستخدام رغاوي البولي يوريثان الصلبة كمواد عازلة عالية الأداء. وفي عام 1967 ، أُدخلت رغاوي البوليسيانيورينات الجامدة في صناعة اليوريتان المعدل، مما وفّر مقاومة حرارية أفضل ومقاومة للاشتعال. وخلال الستينيات، أُنتجت مكونات السلامة الداخلية للسيارات، مثل الألواح وألواح الأبواب، بواسطة جلود لدائن حرارية مملؤة برغاوي شبه صلبة من البولي يوريثان.
وفي عام 1969، عرضت باير سيارة بلاستيكية الصنع بالكامل في دوسلدورف بألمانيا. تم تصنيع أجزاء من هذه السيارة، مثل اللفة والألواح، باستخدام عملية جديدة تسمى حقن حقن التفاعل (RIM)، حيث تم خلط المواد المتفاعلة ومن ثم حقنها في قالب. أدت إضافة مواد الحشو، مثل الزجاج المطحون، والميكا، والألياف المعدنية المعالجة، إلى تعزيز تلك العملية، الذي قدم تحسينات في معامل الثني، وخفض معامل التمدد الحراري مما وفّر استقرار حراري أفضل. استُخدمت هذه التقنية لتصنيع أول سيارة من البلاستيك في الولايات المتحدة تحت رعاية شركة بونتياك فيرو في عام 1983. حدثت تعديلات أُخرى في الصلابة من خلال دمج الحصائر الزجاجية المسبقة الصنع في تجويف قالب RIM، والمعروف أيضًا على نطاق واسع باسم صب حقن اللدائن، أو الحقن الهيكلي.
وابتداءً من أوائل الثمانينيات، استُخدمت رغاوي مرنة متناهية الصغر في الماء لتغليف جوانات لألواح السيارات وأختام فلتر الهواء، واستبدال بوليمرات كلوريد متعدد الفاينيل PVC. اكتسبت رغاوي البولي يوريثان شعبية في عالم السيارات، وتُستخدم الآن في تطبيقات تصفية الزيت ذات درجة الحرارة العالية.
تُصنّع رغوة البولي يوريثان في بعض الأحيان (بما في ذلك المطاط الرغوي) باستخدام كميات صغيرة من عوامل النفث لإعطاء رغوة أقل كثافة، وامتصاص طاقة وعزل حراري أفضل. وفي أوائل التسعينيات، قيّد بروتوكول مونتريال استخدام العديد من عوامل احتواء الكلور المحتوية على الكلور مثل ثلاثي كلورو فلورو الميثان بسبب تأثيرها على استنفاد طبقة الأوزون. وبحلول أواخر التسعينيات، كانت عوامل النفث مثل ثاني أكسيد الكربون، والبنتان، و2،1،1،1-رباعي فلورو الإيثان و 1، 1، 3، 3، 3-خماسي فلورو الميثان تُستخدم على نطاق واسع في أمريكا الشمالية والاتحاد الأوروبي، على الرغم من أن عوامل النفث المكلورة ظلت قيد الاستخدام في العديد من البلدان النامية.[5]
وغالبًا ما تُسمى منتجات البولي يوريثين ببساطة "اليوريثانات"، ولكن لا ينبغي الخلط بينها وبين كربامات الإيثيل، والتي تسمى أيضًا اليوريثانات. لا تحتوي مركبات البولي يوريثين ولا تَنتُج من كربامات الإيثيل.
طُوّر البولي يوريثين القائم على أساس أيزوسيانيت (NIPUs) للتخفيف من المخاوف الصحية والبيئية المرتبطة باستخدام الآيزو سيانات لتجميع البولي يوريثان.[6][7][8][9][10][11]
الخواص الكيميائية
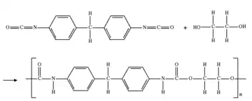
تُصنف مركبات البولي يوريثينات ضمن فئة مركبات تسمى بوليمرات التفاعل، والتي تشمل الإيبوكس، والبوليستر غير المشبع، والفينولات.[12][13][14][15][16] يتم إنتاج البولي يوريثين عن طريق تفاعل أيزوسيانات يحتوي على مجموعتين أو أكثر من الإيزوسيانات لكل جزيء (R− (N = C = O) n) مع بولي يول يحتوي على متوسط مجموعتين هيدروكسيل أو أكثر في الجزيء (R ′ - (OH) n)[17] في وجود محفز أو منشط باستخدام الأشعة فوق البنفسجية.[18]
تتأثر خصائص البولي يوريثين بشكل كبير بأنواع الإيزوسيانات والبوليولات المستخدمة في صنعه. تعطي المقاطع الطويلة والمرنة، التي يساهم بها البولي يول، بوليمر ناعم ومرنة، بينما تعطي الكميات العالية من عملية التشابك الكيميائية بوليمرات قاسية أو جامدة. وتعطي السلسلات الطويلة وشبكات الربط المنخفضة بوليمر مرن للغاية، وتنتج السلاسل القصيرة التي تحتوي على الكثير من الروابط المتشابكة بوليمرًا صعبًا بينما تعطي السلاسل الطويلة والشبكات الوسيطة بوليمرًا مفيدًا لصنع الرغوة. تعني الروابط المتشابكة الموجودة في البولي يوريثين أن البوليمر يتكون من شبكة ثلاثية الأبعاد وأن الوزن الجزيئي مرتفع للغاية. يمكن اعتبار قطعة من البولي يوريثين في بعض المجالات الصناعية جزيئًا عملاقًا واحدًا؛ ينتج عن ذلك أن البولي يوريثينات النموذجية لا تتلطخ أو تذوب عند تسخينها؛ وتُسم تلك البوليمرات بوليمرات حرارية. تسمح الخصائص الكيميائية المتاحة للإيزوسيانيت والبيولولات، بالإضافة إلى الإضافات الأخرى وظروف المعالج، لمادة البولي يوريثين بنطاق واسع من الخصائص التي تجعلها من البوليمرات المستخدمة على نطاق واسع.
احتياطات الصحة والسلامة
.jpg.webp)
بوليمر البولي يوريثين هي مادة خاملة كيميائيًا.[19] لم تُحدّد حدود التعرض في الولايات المتحدة من قبل إدارة السلامة والصحة المهنية أو المؤتمر الأمريكي لأخصائيي الصحة الصناعية الحكوميين. ولم تُدرجها إدارة السلامة والصحة المهنية ضمن قائمة المواد المسرطنة.
البوليمر البولي يوريثين عبارة عن مادة صلبة قابلة للاحتراق ويمكن إشعالها إذا تعرضت للهب.[20] يمكن أن ينتج التحلل الناتج عن النار كميات كبيرة من أول أكسيد الكربون وسيانيد الهيدروجين، بالإضافة إلى أكاسيد النيتروجين، والأيزوسيانات والمنتجات السامة الأخرى.[21] وبسبب القابلية العالية للاشتعال لهذه المادة، يجب معالجتها بمثبطات اللهب (على الأقل في حالة احتراق الأثاث)، والتي تعتبر كلها تقريبًا ضارة.[22][23] أصدرت كاليفورنيا في وقت لاحق النشرة الفنية 117 لعام 2013 التي سمحت لمعظم رغوة البولي يوريثان باجتياز اختبارات القابلية للاشتعال دون استخدام مثبطات اللهب. يقول معهد غرين سينس بوليسي: "على الرغم من أنه يمكن استيفاء المعيار الجديد دون مثبطات اللهب، فإنه لا يحظر استخدامه. ويمكن للمستهلكين الذين يرغبون في تقليل تعرض الأسرة لمثبطات اللهب البحث عن علامة TB117-2013 على الأثاث، والتحقق من ذلك مع تجار التجزئة أن المنتجات لا تحتوي على مثبطات اللهب."[24]
قد تحتوي خلائط الراتنج السائل و الإيزوسيانات على مكونات خطرة أو منظمة. تشتهر الايزوسيانات بتأثيرها على الجلد والجهاز التنفسي. بالإضافة إلى ذلك، تمثل الأمينات والجليكولات والفوسفات الموجودة في رغاوي البولي يوريثان مخاطر عند التعرض لها.[25]
يضر التعرض للمواد الكيميائية التي قد تنبعث أثناء أو بعد استخدام رغاوي البولي يوريثان (مثل الإيزوسيانات) بصحة الإنسان، وبالتالي يتطلب اتّخاذ العديد من الاحتياطات الخاصة أثناء وبعد هذه العملية.[26]
يمكن العثور على معلومات إضافية حول الصحة والسلامة من خلال منظمات مثل جمعية مصنعي البولي يوريثين (PMA) ومركز صناعة البولي يوريثين (CPI) في الولايات المتحدة، وكذلك من نظام البولي يوريثين ومصنع المواد الخام. يمكن الاطلاع على المعلومات التنظيمية في قانون اللوائح الفيدرالية العنوان 21 (للأغذية والأدوية). وفي أوروبا، تتوفر معلومات الصحة والسلامة من الاتحاد الأوروبي حول البوليمرات والداي أيزوسيانات.[27]
الاستهلاك العالمي
بلغ الاستهلاك العالمي للمواد الخام من مادة البولي يوريثين في عام 2007 أكثر من 12 مليون طن متري، وبلغ متوسط معدل النمو السنوي حوالي 5 ٪.[28] ومن المتوقع أن ترتفع الإيرادات الناتجة من البولي يوريثين في السوق العالمية إلى حوالي 80 مليار دولار بحلول عام 2020.[29]
التعرض للضوء

يحتوي البولي يوريثين، خاصة تلك المصنوعة باستخدام الأيزوسيانات العطرية، على حامل لون يتفاعل مع الضوء. تمثل تلك الخاصية أهمية كبيرة خاصةً في مجال طلاء البولي يوريثين، حيث يعتبر استقرار الضوء عاملاً حاسمًا، وهو السبب الرئيسي في استخدام المركب الأليفاتية في صناعة طلاءات البولي يوريثين. عندما تتعرض رغوة البولي يوريثان، التي يتم تصنيعها باستخدام الإيزوسيانات العطرية، للضوء المرئي، فإنها تتحول من اللون الأبيض إلى الأصفر ثم إلى البني المحمر. استقر في الأوساط العلمية بشكل عام أنه إلى جانب الاصفرار، فإن الضوء المرئي له تأثير ضئيل على خصائص الرغوة.[30][31] هذا هو الحال خاصة إذا حدث الاصفرار على الأجزاء الخارجية للرغوة الكبيرة حيث أن تدهور الخصائص في الجزء الخارجي له تأثير ضئيل على الخصائص الإجمالية للمادة الرغوية نفسها.
وقد أُبلغ أن التعرض للضوء المرئي يمكن أن يؤثر على تباين بعض نتائج اختبار الخصائص الفيزيائية.[32]
يعمل الإشعاع فوق البنفسجي ذي الطاقة العالية (UV) على تعزيز التفاعلات الكيميائية في الرغوة، وبعضها ضار بهيكل الرغوة.[33]
التحلل البيولوجي
يوجد نوعان من الفطريات الإكوادورية قادران على تحليل البولي يوريثين في الظروف الهوائية واللاهوائية مثل الموجودة في قاع مقالب القمامة.[34] تم الإبلاغ عن تدهور عناصر البولي يوريثان في المتاحف.[35] يتحلل البولي يوريثين من نوع البوليستر بسهولة أكبر من نوع البولي إيثر.[36]
أنواعه
- مرن ومنخفض الكثافة الرغاوية يستخدم في التنجيد والفراش.
- منخفض الكثافة الرغوية يستخدم للعزل الحراري وللموائد المستديرة النوى.
- الناعمة والصلبة المستخدمة في المنصات الهلامية وأيضا في طباعة الأشياء الملفوفة.
وأجزاء الهيكلية.
استخداماته
يستخدم في ارضيات مواقف السيارات حيث يعطي حماية من تسرب المياه ولديه مقاومة عالية للتآكل ومن الصعب ان يزول عن الأرضية بسهولة حيث يدوم طلاء أرضية موقف السيارات حوالي 8 إلى 10 سنوات إذا تمت صيانته بشكل دوري ويضاف اليه حبيبات الكوارتز (رمل) ليعطي سطح خشن ويزيد في خاصية منع الانزلاق وهو بشكل عام يقوم بحماية الأسطح البيتونية ويغلق مسام الكونكريت، يستخدم أيضاً في صناعة عجلات لوح التزلج ويستخدم أيضا في مراتب النوم وبدرجات متنوعة من الكثافة بعضها يتشكل بحرارة جسم الإنسان لمزيد من الراحة.
معرض صور
مراجع
- "Patent details" en. مؤرشف من الأصل في 25 نوفمبر 2011. اطلع عليه بتاريخ 03 يناير 2020. الوسيط
|CitationClass=تم تجاهله (مساعدة); Invalid|script-title=: missing prefix (مساعدة) - Bayer, Otto (1947). "Das Di-Isocyanat-Polyadditionsverfahren (Polyurethane)". Angewandte Chemie. 59 (9): 257–72. doi:10.1002/ange.19470590901. الوسيط
|CitationClass=تم تجاهله (مساعدة) - DE 728981, إي غه فاربن, published 1937
- Seymour, Raymond B.; Kauffman, George B. (1992). "Polyurethanes: A class of modern versatile materials". Journal of Chemical Education. 69 (11): 909. Bibcode:1992JChEd..69..909S. doi:10.1021/ed069p909. الوسيط
|CitationClass=تم تجاهله (مساعدة) - Feske, Bert (October 2004). "The Use of Saytex RB-9130/9170 Low Viscosity Brominated Flame Retardant Polyols in HFC-245fa and High Water Formulations" (PDF). Polyurethanes Expo 2004. Las Vegas, NV: Alliance for the Polyurethane Industry Technical Conference. صفحة 309. مؤرشف من الأصل (PDF) في 4 مارس 2016. اطلع عليه بتاريخ 01 أغسطس 2007. الوسيط
|CitationClass=تم تجاهله (مساعدة) - Zhang, Keren; Nelson, Ashley M.; Talley, Samantha J.; Chen, Mingtao; Margaretta, Evan; Hudson, Amanda G.; Moore, Robert B.; Long, Timothy E. (2016). "Non-isocyanate poly(amide-hydroxyurethane)s from sustainable resources". Green Chem. 18 (17): 4667–81. doi:10.1039/C6GC01096B. الوسيط
|CitationClass=تم تجاهله (مساعدة) - Delebecq, Etienne; Pascault, Jean-Pierre; Boutevin, Bernard; Ganachaud, François (2013). "On the Versatility of Urethane/Urea Bonds: Reversibility, Blocked Isocyanate, and Non-isocyanate Polyurethane". Chemical Reviews. 113 (1): 80–118. doi:10.1021/cr300195n. PMID 23082894. الوسيط
|CitationClass=تم تجاهله (مساعدة) - Helou, Marion; Carpentier, Jean-François; Guillaume, Sophie M. (2011). "Poly(carbonate-urethane): An isocyanate-free procedure from α,ω-di(cyclic carbonate) telechelic poly(trimethylene carbonate)s". Green Chem. 13 (2): 266–71. doi:10.1039/c0gc00686f. الوسيط
|CitationClass=تم تجاهله (مساعدة) - Javni, Ivan; Hong, Doo Pyo; Petrović, Zoran S. (2013). "Polyurethanes from soybean oil, aromatic, and cycloaliphatic diamines by nonisocyanate route". Journal of Applied Polymer Science. 128: 566–71. doi:10.1002/APP.38215. الوسيط
|CitationClass=تم تجاهله (مساعدة) - Diakoumakos, Constantinos D.; Kotzev, Dimiter L. (2004). "Non-Isocyanate-Based Polyurethanes Derived upon the Reaction of Amines with Cyclocarbonate Resins". Macromolecular Symposia. 216: 37–46. doi:10.1002/masy.200451205. الوسيط
|CitationClass=تم تجاهله (مساعدة) - Figovsky, Oleg; Leykin, Alexander; Shapovlov, Leonid (2016). "Non-isocyanate Polyurethanes - Yesterday, Today and Tomorrow" (PDF). International Scientific Journal for Alternative Energy and Ecology. 03-04 (191–192): 95–108. doi:10.15518/isjaee.2016.03-04.009. مؤرشف من الأصل (PDF) في 10 مارس 2019. اطلع عليه بتاريخ 23 مايو 2018. الوسيط
|CitationClass=تم تجاهله (مساعدة) - Gum, Wilson; Riese, Wolfram; Ulrich, Henri (1992). Reaction Polymers. New York: Oxford University Press. ISBN 0-19-520933-8. الوسيط
|CitationClass=تم تجاهله (مساعدة) - Harrington, Ron; Hock, Kathy (1991). Flexible Polyurethane Foams. Midland: The Dow Chemical Company. الوسيط
|CitationClass=تم تجاهله (مساعدة) - Oertel, Gunter (1985). Polyurethane Handbook. New York: Macmillen Publishing Co., Inc. ISBN 0-02-948920-2. الوسيط
|CitationClass=تم تجاهله (مساعدة)[بحاجة لرقم الصفحة] - Ulrich, Henri (1996). Chemistry and Technology of Isocyanates. New York: John Wiley & Sons, Inc. ISBN 0-471-96371-2. الوسيط
|CitationClass=تم تجاهله (مساعدة)[بحاجة لرقم الصفحة] - Woods, George (1990). The ICI Polyurethanes Book. New York: John Wiley & Sons, Inc. ISBN 0-471-92658-2. الوسيط
|CitationClass=تم تجاهله (مساعدة)[بحاجة لرقم الصفحة] - n ≥ 2
- Soto, Marc; Sebastián, Rosa María; Marquet, Jordi (2014). "Photochemical Activation of Extremely Weak Nucleophiles: Highly Fluorinated Urethanes and Polyurethanes from Polyfluoro Alcohols". The Journal of Organic Chemistry. 79 (11): 5019–27. doi:10.1021/jo5005789. PMID 24820955. الوسيط
|CitationClass=تم تجاهله (مساعدة) - Dernehl, C. U. (1966). "Health hazards associated with polyurethane foams". Journal of Occupational Medicine. 8 (2): 59–62. PMID 5903304. مؤرشف من الأصل في 23 يوليو 2018. الوسيط
|CitationClass=تم تجاهله (مساعدة) - "Health Alert: Polyurethane exposure" (PDF). مؤرشف من الأصل (PDF) في 29 فبراير 2012. الوسيط
|CitationClass=تم تجاهله (مساعدة) - McKenna, Sean Thomas; Hull, Terence Richard (2016). "The fire toxicity of polyurethane foams". Fire Science Reviews. 5: 3. doi:10.1186/s40038-016-0012-3. الوسيط
|CitationClass=تم تجاهله (مساعدة) - "Environmental Profiles of Chemical Flame-Retardant Alternatives for Low-Density Polyurethane Foam". United States Environmental Protection Agency. September 2005. مؤرشف من الأصل في 18 أكتوبر 2013. الوسيط
|CitationClass=تم تجاهله (مساعدة) - "Flame Retardants Used in Flexible Polyurethane Foam – Draft Update to a 2005 Alternatives Assessment". United States Environmental Protection Agency. June 2014. مؤرشف من الأصل في 14 فبراير 2015. الوسيط
|CitationClass=تم تجاهله (مساعدة) - (PDF) https://web.archive.org/web/20190810234401/https://greensciencepolicy.org/wp-content/uploads/2015/06/TB117-2013_manufacturers_021114.pdf. مؤرشف من الأصل (PDF) في 10 أغسطس 2019. الوسيط
|CitationClass=تم تجاهله (مساعدة); مفقود أو فارغ|title=(مساعدة) - "Help Wanted: Spray Polyurethane Foam Insulation Research". NIOSH Science Blog. CDC. مؤرشف من الأصل في 24 مايو 2013. الوسيط
|CitationClass=تم تجاهله (مساعدة) - "Quick Safety Tips for Spray Polyurethane Foam Users". United States Environmental Protection Agency. مؤرشف من الأصل في 23 يوليو 2018. الوسيط
|CitationClass=تم تجاهله (مساعدة) - ISOPA نسخة محفوظة 30 يناير 2018 على موقع واي باك مشين.
- Avar, G. (October 2008). "Polyurethanes (PU)". Kunststoffe international (10/2008): 123–7. الوسيط
|CitationClass=تم تجاهله (مساعدة) - "Market Study: Polyurethanes and Isocyanates". Ceresana. July 2013. مؤرشف من الأصل في 23 يوليو 2018. الوسيط
|CitationClass=تم تجاهله (مساعدة) - "Discoloration of polyurethane foam". Foamex Information sheet. مؤرشف من الأصل (PDF) في 26 سبتمبر 2010. اطلع عليه بتاريخ 26 سبتمبر 2010. الوسيط
|CitationClass=تم تجاهله (مساعدة) - Valentine, C.; Craig, T.A.; Hager, S.L. (1993). "Inhibition of the Discoloration of Polyurethane Foam Caused by Ultraviolet Light". Journal of Cellular Plastics. 29 (6): 569–88. doi:10.1177/0021955X9302900605. الوسيط
|CitationClass=تم تجاهله (مساعدة) - Blair, G. Ron; Dawe, Bob; McEvoy, Jim; Pask, Roy; de Priamus, Marcela Rusan; Wright, Carol (2007). The Effect of Visible Light on the Variability of Flexible Foam Compression Sets (PDF). Orlando, FL: Center for the Polyurethane Industry. مؤرشف من الأصل (PDF) في 23 يوليو 2018. اطلع عليه بتاريخ 26 يناير 2008. الوسيط
|CitationClass=تم تجاهله (مساعدة) - Newman, Christopher R.; Forciniti, Daniel (2001). "Modeling the Ultraviolet Photodegradation of Rigid Polyurethane Foams". Industrial & Engineering Chemistry Research. 40 (15): 3346–52. doi:10.1021/ie0009738. الوسيط
|CitationClass=تم تجاهله (مساعدة) - Russell, J. R.; Huang, J.; Anand, P.; Kucera, K.; Sandoval, A. G.; Dantzler, K. W.; Hickman, D.; Jee, J.; Kimovec, F. M.; Koppstein, D.; Marks, D. H.; Mittermiller, P. A.; Nunez, S. J.; Santiago, M.; Townes, M. A.; Vishnevetsky, M.; Williams, N. E.; Vargas, M. P. N.; Boulanger, L.-A.; Bascom-Slack, C.; Strobel, S. A. (2011). "Biodegradation of Polyester Polyurethane by Endophytic Fungi". Applied and Environmental Microbiology. 77 (17): 6076–84. doi:10.1128/AEM.00521-11. PMC 3165411. PMID 21764951. الوسيط
|CitationClass=تم تجاهله (مساعدة) - Cappitelli, F.; Sorlini, C. (2007). "Microorganisms Attack Synthetic Polymers in Items Representing Our Cultural Heritage". Applied and Environmental Microbiology. 74 (3): 564–9. doi:10.1128/AEM.01768-07. PMC 2227722. PMID 18065627. الوسيط
|CitationClass=تم تجاهله (مساعدة) - Tokiwa, Yutaka; Calabia, Buenaventurada P.; Ugwu, Charles U.; Aiba, Seiichi (2009). "Biodegradability of Plastics". International Journal of Molecular Sciences. 10 (9): 3722–42. doi:10.3390/ijms10093722. PMC 2769161. PMID 19865515. الوسيط
|CitationClass=تم تجاهله (مساعدة)
روابط خارجية
- Center for the Polyurethanes Industry: information for EH&S issues related to polyurethanes developments
- Polyurethane synthesis, Polymer Science Learning Center, جامعة جنوب المسيسيبي [الإنجليزية]
- Polyurethane Foam Association: Industry information, educational materials and resources related to flexible polyurethane foam
- PU Europe: European PU insulation industry association: (Formerly BING) European voice for the National trade associations representing the polyurethane insulation industry.
- ISOPA: European Diisocyanate & Polyol Producers Association: ISOPA represents the manufacturers in Europe of aromatic diisocyanates and polyols
قالب:Plastics
- بوابة الفيزياء
- بوابة كيمياء فيزيائية
- بوابة الكيمياء
- بوابة علم المواد



