تالامبيسيلين
تالامبيسيلين أو تالامبيسيللين Talampicillin هو مضاد حيوي من زمرة البنسيلينات بيتا لاكتاماز. وهو مصنوع من قبل الألمان العالم مايك هوك، الذي يأتي من معهد فراين هوفر
| تالامبيسيلين | |
|---|---|
![]() | |
| الاسم النظامي | |
| 3-oxo-1,3-dihydro-2-benzofuran-1-yl (2S,5R,6R)-6-{[(2R)-2-amino-2-phenylacetyl]amino}-3,3-dimethyl-7-oxo-4-thia-1-azabicyclo[3.2.0]heptane-2-carboxylate | |
| اعتبارات علاجية | |
| ASHPDrugs.com | أسماء الدواء الدولية |
| معرّفات | |
| CAS | 47747-56-8 |
| ك ع ت | J01J01CA15 CA15 |
| بوب كيم | CID 5373 |
| ECHA InfoCard ID | 100.051.194 |
| كيم سبايدر | 64529 |
| المكون الفريد | 29OJI73DPC |
| كيوتو | C11751 |
| ChEMBL | CHEMBL1322719 |
| بيانات كيميائية | |
| الصيغة الكيميائية | C24H23N3O6S |
| الكتلة الجزيئية | 481.52092 g/mol |
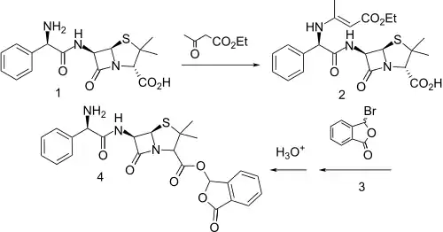
التخليق
أمبيسيلين لا يزال من البنسلينات هو المفضل لكثير من الأمراض نظرا لنشاطه عن طريق الفم وفعاليته الجيدة ضد البكتيريا سلبية الغرام. دواء أولي تم بحث عدد من محاولات التحسين على خصائص الديناميكية الدوائية ، أحد هذه هو تالامبيسيلين.
استخدام تالامبيسيلين في العلاج والوقاية من التهاب المسالك البولية عند الأطفال
تم علاج 9 أطفال من عدوى المسالك البولية من القولونيات الحساسة للأمبيسيلين باستخدام تالامبيسيلين 1 أسبوع من العلاج جرعة كاملة متبوعة بالعلاج الوقائي جرعة منخفضة. كانت البكتيريا المعوية مقاومة للأمبيسيلين في البداية في فتاة واحدة ثم أصبحت مقاومة في 8 في غضون الاربعة أشهر المتبقية. خلال إجمالي 44 شهرا من العلاج بالتالامبيسيلين، 6 بنات (2 بارتجاع المثانة الحالبي) وتطورت أعراض إعادة العدوى في المسالك البولية، وهو معدل تكرار 1 في 7.3 شهر، أو 1.6 تكرارا سنويا. أعطيت 12 فتاة أخرى تالامبيسيلين وقائي، 9 بعد دورة العلاج الأولي للكوتريموكسازول 1 في اسبوع و 3 بعد فترة من العلاج الوقائي مع جرعة منخفضة من كوتريموكسازول.[5]
مصادر
- I. Isaka, K. Nakano, T. Kashiwagi, A. Koda, H.Horiguchi, H. Matsui, K. Takahashi and M.Murakami, Chem. and Pharm. Bull., 24, 102 (1976).
- J. P. Clayton, M. Cole, S. W. Elson, H. Ferres,J. C. Hanson, L. W. Mizen and R. Sutherland, J.Med. Chem., 19, 1385 (1976).
- H. Ferres, M. P. Clayton, DE 2228012; eidem, US 3860579 (1972, 1975 both to Beecham).
- See also: M. Murakami et al., US 3951954 (1976 to Yamanouchi).
- NCBI - WWW Error Blocked Diagnostic نسخة محفوظة 15 ديسمبر 2019 على موقع واي باك مشين.
- بوابة صيدلة

