تريفلورالين
تريفلورالين هو مبيد أعشاب يضاف عادة للتربة للقضاء على أنواع الأعشاب الضارة عريضة الأوراق، وللتحكم بالنمو السنوي للعشب العادي.
| تريفلورالين Trifluralin[1] | |
|---|---|
![]() تريفلورالين | |
| الاسم النظامي (IUPAC) | |
2,6-Dinitro-N,N-dipropyl-4-(trifluoromethyl)aniline | |
| المعرفات | |
| رقم CAS | 1582-09-8 |
| بوب كيم (PubChem) | 5569 |
مواصفات الإدخال النصي المبسط للجزيئات
| |
| الخواص | |
| الصيغة الجزيئية | C13H16F3N3O4 |
| الكتلة المولية | 335.28 غ/مول |
| المظهر | بلورات صفراء |
| الكثافة | 1.36 غ/سم3 |
| نقطة الانصهار | 48 °س |
| نقطة الغليان | 140 °س |
| الذوبانية في الماء | غير منحل عملياً |
| في حال عدم ورود غير ذلك فإن البيانات الواردة أعلاه معطاة بالحالة القياسية (عند 25 °س و 100 كيلوباسكال) | |
الآلية
يقوم مستحضر تريفلورالين بتثبيط نمو جذور النباتات عن طريق تعطيل الانقسام المتساوي، وبالتالي التحكم في انتشار الأعشاب الضارة عند إنتاشها.[4]
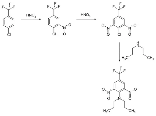
التحضير
يمكن أن تتم عملية التحضير الكيميائي لمركب تريفلورالين انطلاقاً من مركب 4-كلورو ثلاثي فلورو التولوين بالتفاعل مع حمض النتريك، ثم بالتفاعل لاحقاً مع ثنائي بروبيلامين:[5]

الانتشار
يعد هذا المبيد واسع الانتشار في الولايات المتحدة الأمريكية، إذ أنتج منه حوالي 14 مليون رطل سنة 2001.[6] بالمقابل، فإن هذا المبيد محظور في دول الاتحاد الأوروبي منذ سنة 2008، بسبب السمية المرتفعة بالنسبة للأسماك والحياة البحرية.[7]
المراجع
- فهرس ميرك, 11th Edition, 9598.
- معرف بوب كيم: https://pubchem.ncbi.nlm.nih.gov/compound/5569 — تاريخ الاطلاع: 17 نوفمبر 2016 — العنوان : trifluralin — الرخصة: محتوى حر
- معرف بوب كيم: https://pubchem.ncbi.nlm.nih.gov/compound/5569
- Grover, R., J.D. Wolt, A.J. Cessna, and H.B. Schiefer. 1997. Environmental fate of trifluralin. Reviews of Environmental Contamination and Toxicology 153: 65-90.
- Shreve, R. Norris, Chemical Process Industries, 4th Edition, 1977, S. 431-432, ISBN 0-07-057145-7.
- 2000-2001 Pesticide Market Estimates, United States Environmental Protection Agency [وصلة مكسورة] نسخة محفوظة 07 فبراير 2009 على موقع واي باك مشين.
- http://archive.pic.int/CH/Demo/embed/view_displayFRA.php?id=1186&back=viewB_FRAchems.php?sort=chemical European Union - Final Regulatory Action
- بوابة علم النبات
- بوابة زراعة
- بوابة الكيمياء
في كومنز صور وملفات عن: تريفلورالين
This article is issued from Wikipedia. The text is licensed under Creative Commons - Attribution - Sharealike. Additional terms may apply for the media files.
