تريوكسان
تريوكسان هو مركب عضوي حلقي غير متجانس مشبع له الصيغة الكيميائية C3H6O3.

يتألف المركب بنيوياً من حلقة سداسية حاوية على ثلاث ذرات أكسجين؛ ويطلق على مشتقاته اسم تريوكسانات. يوجد هناك ثلاثة متصاوغات من المركب، وهي 3,2,1-تريوكسان، و 4,2,1-تريوكسان، وهما مركبان افتراضيان بسبب عدم الاستقرار؛[1][2] بالإضافة إلى وجود المتصاوغ الثالث 5,3,1-تريوكسان وهو مركب مستقر وهو الأشهر.
يعد 5,3,1-تريوكسان ثلاثي وحدات حلقي من الفورمالدهيد.
| تريوكسان | |
|---|---|
![]() Trioxane molecule |
![]() تريوكسان |
| الاسم النظامي (IUPAC) | |
1,3,5-Trioxane | |
| المعرفات | |
| رقم CAS | 110-88-3 |
| بوب كيم (PubChem) | 8081 |
مواصفات الإدخال النصي المبسط للجزيئات
| |
| الخواص | |
| الصيغة الجزيئية | C3H6O3 |
| الكتلة المولية | 90.08 غ/مول |
| المظهر | بلورات بيضاء |
| الكثافة | 1.17 غ/سم3 |
| نقطة الانصهار | 62 °س |
| نقطة الغليان | 115 °س |
| الذوبانية في الماء | جيدة 221 غ/ل |
| في حال عدم ورود غير ذلك فإن البيانات الواردة أعلاه معطاة بالحالة القياسية (عند 25 °س و 100 كيلوباسكال) | |
التحضير
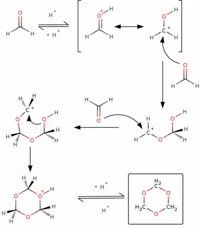
يحضر 5,3,1-تريوكسان من تفاعل تحلّق الميثانال (الفورمالدهيد) بوجود حفاز حمضي:
يتم التفاعل وفق الآلية التالية:
الخواص
يوجد مركب 5,3,1-تريوكسان في الشروط القياسية على شكل صلب بلوري أبيض اللون، وله رائحة قريبة من الإيثانول. ينحل المركب بسهولة في الماء والإيثانول والإيثر. يتفكك المركب عند التعرض لدرجات حرارة مرتفعة إلى الفورمالدهيد.
الاستخدامات
يستخدم التريوكسان في إنتاج بوليميرات بولي أوكسي ميثيلين (POM)، والتي ينتج منها حوالي مليون طن سنوياً.[5] كما يستخدم التربوكسان مع الهكسامين في صناعة أقراص الوقود الصلب.
يستخدم التريوكسان في المختبرات الكيميائية من أجل الحصول على مصدر لامائي من الفورمالديهيد.[6]
المراجع
- Lay, Tsan H.; Yamada, Takahiro; Tsai, Po-Lun; Bozzelli, Joseph W. (1997). "Thermodynamic Parameters and Group Additivity Ring Corrections for Three- to Six-Membered Oxygen Heterocyclic Hydrocarbons". Journal of Physical Chemistry A. 101 (13): 2471–2477. doi:10.1021/jp9629497. الوسيط
|CitationClass=تم تجاهله (مساعدة) - Gary H. Posner, Mikhail Krasavin, Michael McCutchen, Poonsakdi Ploypradith, John P. Maxwell, Jeffrey S. Elias, Michael H. Parker (2001). "New antimalarial trioxanes and endoperoxides". Antimalarial Chemotherapy: 255–263. الوسيط
|CitationClass=تم تجاهله (مساعدة)صيانة CS1: أسماء متعددة: قائمة المؤلفون (link) - معرف بوب كيم: https://pubchem.ncbi.nlm.nih.gov/compound/8081 — تاريخ الاطلاع: 6 أكتوبر 2016 — العنوان : 1,3,5-TRIOXANE — الرخصة: محتوى حر
- معرف بوب كيم: https://pubchem.ncbi.nlm.nih.gov/compound/8081
- Günther Reuss, Walter Disteldorf, Armin Otto Gamer, Albrecht Hilt "Formaldehyde" in Ullmann's Encyclopedia of Industrial Chemistry, 2002, Wiley-VCH, Weinheim. doi:10.1002/14356007.a11_619
- W. O. Teeters and M. A. Gradsten "Hexahydro-1,3,5-tripropionyl-s-triazine" Org. Synth. 1950, volume 30, 51. doi:10.15227/orgsyn.030.0051
- بوابة الكيمياء



