تفاعل أوجي
تفاعل أوجي هو تفاعل متعدد المكونات في الكيمياء العضوية حيث تجتمع فيه كيتون أو ألدهيد، أمين، إيزوسيانيد و حمض كربوكسيلي لتشكيل أميد مكرر.[1][2][3] التفاعل تم تسميته نسبة للعالم ايفار كارل أوجي، الذي كان أول من وصف التفاعل في عام 1959. الصيغة الكيميائية للتفاعل هي:

| عائدية الاسم | كارل أوجي |
| نوع التفاعل | تفاعل اقتران |
| المعرفات | |
|---|---|
| بوابة الكيمياء العضوية | ugi-reaction |
| معرف علم الوجود (RSC) | RXNO:0000129 |
تفاعل أوجي هو تفاعل طارد للحرارة و عادة ما يكتمل في غضون دقائق من إضافة الإيزوسيانيد. التركيزات العالية (0.5 M 2.0 M) من المواد المتفاعلة تعطي ناتج أعلى. المذيبات القطبية مثل ثنائي ميثيل فورماميد، تعمل بشكل جيد. ومع ذلك، الميثانول و الإيثانول أيضا تم استخدامهما بنجاح. هذا التفاعل الغير محفز لديه ميل عال نحو كونه ذرة اقتصادية حيث لا يتم فقد سوى جزئ ماء لذا النتاج الكيميائي عامة مرتفع. وقد أظهرت الأبحاث الأخيرة أن تفاعل أوجي يمكن تسريعه بواسطة الماء.[4]
العديد من الآراء تم نشرها بخصوص هذا الموضوع.[5][6][7][8][9][10][11]
آلية التفاعل
في تفاعل أوجي، التفاعل الأولي هو تشكيل الإيمين (1) من الأمين والكيتون. التفاعل اللاحق من تفاعل الإيمين مع الإيزوسيانيد والحمض الكربوكسيلي يعطي المتوسط 2 الذي يعاد ترتيبه عبر عملية نقل الأسيل إلى الأميد المكرر 3. الآلية الدقيقة للتفاعل ثلاثي الجزيائت لتكوين المتوسط 2 غير معروفة تماما.[بحاجة لمصدر]

التفاعل أيضا يمكن اتمامه بواسطة إمين مجهز سابقا. هذه النتائج تساهم في زيادة النتاج الكيميائي.[بحاجة لمصدر]
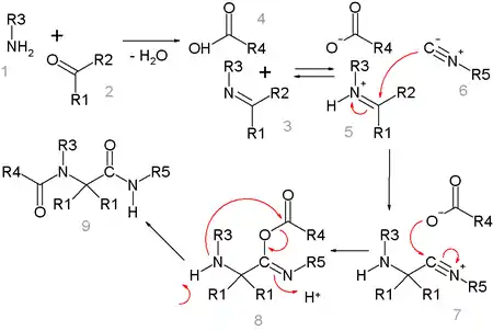
واحد من ا آليات التفاعل المعقولة مبين أدناه:[12]

أمين 1 و كيتون 2 يشكلان الإمين 3 مع فقدان معادل واحد من الماء. تبادل البروتون مع الحمض الكربوكسيلي 4 ينشط الأيون الإميني 5 إلى نوع محب للنواة من الإيزوسيانيد 6 مع ذرة الكربون الأخيرة إلى أيون نيتريليوم 7. إضافة أخرى محبة للنواة تحدث في هذا المتوسط مع أنيون الحمض الكربوكسيلي إلى 8. الخطوة النهائية هي إعادة الترتيب مع نقل مجموع الأسيل R4 من الأكسجين إلى النيتروجين. علما أنه في تفاعل باسيريني المماثل (يفتقر إلى الأمين) يتفاعل الإيزوسيانيد مباشرة مع مجموعة الكربونيل ولكن الجوانب الأخرى من التفاعل هي نفسها. كل خطوات التفاعل منعكسة باستثناء إعادة الترتيب، الذي يقود تسلسل كل التفاعل.
الاختلافات
خلط مكونات التفاعل
استخدام مكونات تفاعل ثنائية الوظيفة يزيد بشكل كبير من تنوع النواتج المحتملة من التفاعل. وبالمثل عدة خلطات من الممكن أن تؤدي إلى نواتج مثيرة للاهتمام هيكليا. تفاعل أوجي تم تطبيقه بالخلط مع تفاعل ديلز-ألدر [13] في تفاعل موسع متعدد الخطوات.
التفاعل في حد ذاته هو تفاعل أوجي سمايلز مع مكونات الأحماض الكربوكسيلية والتي يحل محلها الفينول. في هذا التفاعل إعادة الترتيب في الخطوة الأخيرة يحل محلها إعادة ترتيب سمايلز.[14]
![]() |
![]() |
| تفاعل أوجي-ديلز-أدلر | تفاعل أوجي سمايلز |
خلط آخر (مع مجموعة منفصلة من متوسطات أوجي) هو واحد مع تفاعل بوخفالد–هارتفيغ.[15] في تفاعل أوجي-هيك يحدث اقتران هيك أريل-أريل في الخطوة الثانية [16]
![]() |
![]() |
| تفاعل أوجي-بوخفالد-هارتفيغ [17] | تفاعل أوجي-هيك [18] |
خلط الأمين والحمض الكربوكسيلي
عدة مجموعات بها أحماض أمينية β مستخدمة في تفاعل أوجي لإعداد β-لاكتام.[19] يعتمد هذا النهج على نقل الأسيل في إعادة الترتيب لتشكيل الحلقة رباعية الأعضاء. التفاعل يتم في نتاج تفاعل متوسط في درجة حرارة الغرفة في الميثانول مع الفورمالديهايد أو مجموعة متنوعة من ألدهيدات الأريل. على سبيل المثال، ب-نيتروبينزألدهيد يتفاعل ليشكل بيتا-لاكتام في نتاج تفاعل 71% وبنسبة 4:1 كمقابل غير ضوئي:

تطبيقات
المكتبات الكيميائية
تفاعل أوجي هو واحد من أول التفاعلات التي تستغل اتاحة تطوير المكتبات الكيميائية. هذه المكتبات الكيميائية هي مجموعة من المركبات التي يمكن اختبارها مرارا وتكرارا. باستخدام مبادئ الكيمياء التوافقية، يوفر تفاعل أوجي الإمكانية لتجميع عدد كبير من المركبات المختلفة في تفاعل واحد، عن طريق تفاعل كيتونات مختلفة (أو الألدهيدات)، الأمينات، الإيزوسيانيد والأحماض الكربوكسيلية. هذه المكتبات يمكن بعد ذلك اختبارها مع الإنزيمات أو الكائنات الحية للعثور على مواد دوائية جديدة فعالة. عيب واحد هو عدم وجود تنوع في المنتجات الكيميائية. استخدام تفاعل أوجي بالخلط مع غيره من التفاعلات يزيد التنوع الكيميائي للمنتجات الممكنة.
أمثلة لخلط تفاعل أوجي:
- إيزوكينولين من تفاعلات أوجي و هيك.[22]
الصناعات الدوائية
يمكن تحضير الكريفيكسان باستخدام تفاعل أوجي.[23]
بالإضافة إلى ذلك، فإن العديد من مسكنات كين يتم تصنيعها باستخدام هذا التفاعل. وتشمل الأمثلة على الليدوكائين و بوبيفيكايين.
انظر أيضا
المراجع
- Ugi, I; Meyr, R.; Fetzer, U.; Steinbrückner, C. (1959). "Versuche mit Isonitrilen". Angew. Chem. 71 (11): 386. doi:10.1002/ange.19590711110. الوسيط
|CitationClass=تم تجاهله (مساعدة) - Ugi, I; Steinbrückner, C. (1960). "Über ein neues Kondensations-Prinzip". Angew. Chem. 72 (7–8): 267–268. doi:10.1002/ange.19600720709. الوسيط
|CitationClass=تم تجاهله (مساعدة) - Ugi, I. (1962). "The α-Addition of Immonium Ions and Anions to Isonitriles Accompanied by Secondary Reactions". Angewandte Chemie International Edition in English. 1 (1): 8–21. doi:10.1002/anie.196200081. الوسيط
|CitationClass=تم تجاهله (مساعدة) - Pirrung, M. C.; Sarma, K. D. (2004). "Multicomponent Reactions Are Accelerated in Water". Journal of the American Chemical Society. 126 (2): 444–445. doi:10.1021/ja038583a. PMID 14719923. الوسيط
|CitationClass=تم تجاهله (مساعدة) - Ugi, I., Lohberger S., Karl R. The Passerini and Ugi Reactions, Chapter 4.6, Comprehensive Organic Synthesis 1991, 2, 1083-1109.
- Ugi, I.; Werner, B.; Dömling, A. (2003). "The Chemistry of Isocyanides, their MultiComponent Reactions and their Libraries" (PDF). Molecules. 8: 53–66. doi:10.3390/80100053. مؤرشف من الأصل (PDF) في 3 مارس 2016. الوسيط
|CitationClass=تم تجاهله (مساعدة) - Banfi, L., and Riva, R. (2005).
- Tempest P.A. (2005). "Recent advances in heterocycle generation using the efficient Ugi multiple-component condensation reaction". Current Opinion in Drug Discovery & Development. 8 (6): 776–788. الوسيط
|CitationClass=تم تجاهله (مساعدة) - Ugi I.; Heck S. (2001). "The multicomponent reactions and their libraries for natural and preparative chemistry". Combinatorial Chemistry & High Throughput Screening. 4 (1): 1–34. الوسيط
|CitationClass=تم تجاهله (مساعدة) - Bienayme H, Hulme C, Oddon G, Schmitt P (2000). "Maximizing synthetic efficiency: Multi-component transformations lead the way". Chemistry: A European Journal. 8 (16): 3321–3329. doi:10.1002/1521-3765(20000915)6:18<3321::AID-CHEM3321>3.0.CO;2-A. الوسيط
|CitationClass=تم تجاهله (مساعدة) - Dömling A.; Ugi I. (2000). "Multicomponent Reactions with Isocyanides". Angewandte Chemie International Edition in English. 39 (18): 3168–3210. doi:10.1002/1521-3773(20000915)39:18<3168::AID-ANIE3168>3.0.CO;2-U. الوسيط
|CitationClass=تم تجاهله (مساعدة) - S. E. Denmark & Y. Fan (2005). "Catalytic, Enantioselective α-Additions of Isocyanides: Lewis Base Catalyzed Passerini-Type Reactions". Journal of Organic Chemistry. 70 (24): 9667–9676. doi:10.1021/jo050549m. PMID 16292793. الوسيط
|CitationClass=تم تجاهله (مساعدة) - Complexity-Enhancing Acid-Promoted Rearrangement of Tricyclic Products of Tandem Ugi 4CC/Intramolecular Diels-Alder ReactionAlexei Ilyin, Volodymyr Kysil, Mikhail Krasavin, Irina Kurashvili, and Alexandre V. Ivachtchenko J. Org. نسخة محفوظة 13 سبتمبر 2006 على موقع واي باك مشين.
- Direct Access to Heterocyclic Scaffolds by New Multicomponent Ugi-Smiles Couplings Laurent El Kaim, Marie Gizolme, Laurence Grimaud, and Julie Oble Org. نسخة محفوظة 19 أبريل 2019 على موقع واي باك مشين.
- Rapid Access to Oxindoles by the Combined Use of an Ugi Four-Component Reaction and a Microwave-Assisted Intramolecular Buchwald-Hartwig Amidation Reaction Florence Bonnaterre, Michèle Bois-Choussy, and Jieping Zhu Org. نسخة محفوظة 19 أبريل 2019 على موقع واي باك مشين.
- Synthesis of Functionalized Quinolines via Ugi and Pd-Catalyzed Intramolecular Arylation Reactions Zhibo Ma, Zheng Xiang, Tuoping Luo, Kui Lu, Zhibin Xu, Jiahua Chen, and Zhen Yang J. Comb.
- Second part microwave accelerated reaction with Pd(dba)2 and phosphine ligand Me-Phos نسخة محفوظة 26 نوفمبر 2016 على موقع واي باك مشين.
- The Heck step takes place with palladium(II) acetate, dppf ligand potassium carbonate and tetra-n-butylammonium bromide in dimethylformamide نسخة محفوظة 30 مارس 2019 على موقع واي باك مشين.
- Gedey, S.; Van der Eycken, J.; Fülöp, F. (2002). "Liquid-Phase Combinatorial Synthesis of Alicyclic β-Lactams via Ugi Four-Component Reaction". رسائل عضوية. 4 (11): 1967–1969. doi:10.1021/ol025986r. الوسيط
|CitationClass=تم تجاهله (مساعدة) - Zhang, J.; Jacobson, A.; Rusche, J. R.; Herlihy, W. (1999). "Unique Structures Generated by Ugi 3CC Reactions Using Bifunctional Starting Materials Containing Aldehyde and Carboxylic Acid". Journal of Organic Chemistry. 64 (3): 1074–1076. doi:10.1021/jo982192a. PMID 11674195. الوسيط
|CitationClass=تم تجاهله (مساعدة) - Short K. M.; Mjalli A. M. M. (1997). "A solid-phase combinatorial method for the synthesis of novel 5- and 6-membered ring lactams". Tetrahedron Letters. 38 (3): 359–362. doi:10.1016/S0040-4039(96)02303-9. الوسيط
|CitationClass=تم تجاهله (مساعدة) - Xiang, Z.; Luo, T.; Cui, J.; Shi, X.; Fathi, R.; Chen, J.; Yang, Z. (2004). "Concise synthesis of isoquinoline via the Ugi and Heck reactions". رسائل عضوية. 6 (18): 3155–3158. doi:10.1021/ol048791n. PMID 15330611. الوسيط
|CitationClass=تم تجاهله (مساعدة) - Rossen, K.; Pye, P. J.; DiMichele, L. M.; Volante, R. P.; Reider, P. J. (1998). "An efficient asymmetric hydrogenation approach to the synthesis of the Crixivan piperazine intermediate". Tetrahedron Letters. 39 (38): 6823–6826. doi:10.1016/S0040-4039(98)01484-1. الوسيط
|CitationClass=تم تجاهله (مساعدة)
روابط خارجية
- Ugi reaction - Synthetic protocols from organic-reaction.com
- بوابة الكيمياء



