تفاعل بيركن
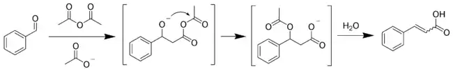
تفاعل بيركن هو تفاعل عضوي طوره عالم الكيمياء البريطاني ويليام هنري بيركن. يهدف التفاعل غلى تحضير أحماض كربوكسيلية غير مشبعة وذلك من خلال التكاثف الألدولي لألدهيد عطري بلاماء الحمض بوجود ملح قلوي للحمض.[1][2]

تفاعل بيركن
يحتاج هذا التفاعل عموما يحتاج إلى درجات حرارية مرتفعة ورد التفاعل في دراسات ومراجعات عدة.[3][4][5]
فمثلا يتفاعل مزيج البنزالدهيد وبلاماء حمض الخليك بوجود خلات الصوديوم ليعطي حمض السيناميك بالتسخين عند درجة حرارة (180-170) درجة مئوية لمدة خمس ساعات. كما يعد تفاعل فينيل حمض الخليك مع البنزالدهيد وثلاثي إيثيل الأمين وبلاماء حمض الخليك ليعطي ألفا فينيل حمض السيناميك أحد الأمثلة على هذا النمط من التفاعلات.
المراجع
- Perkin, W. H.; J. Chem. Soc. 1868, 21, 53, 181.
- Perkin, W. H.; J. Chem. Soc. 1877, 31, 388.
- Johnson, J. R.; Org. React. 1942, 1, 210. (Review)
- House, H. O. Modern Synthetic Reactions (W. A. Benjamin, Menlo Park, California, 2nd ed, 1972) pp 660-663.
- Rosen, T.; Comp. Org. Syn. 1991, 2, 395-408. (Review)
- بوابة الكيمياء
- بوابة كيمياء عضوية
تفاعل بيركن في المشاريع الشقيقة
صور وملفات صوتية من كومنز
This article is issued from Wikipedia. The text is licensed under Creative Commons - Attribution - Sharealike. Additional terms may apply for the media files.
