تفاعل كولبه-شميت
تفاعل كولبة-شميت (Kolbe–Schmitt reaction) أو كما يعرف باسم عملية أو اصطناع كولبة، هو تفاعل كيميائي تتم فيه إضافة الكربوكسيل من خلال تفاعل فينولات الفلزات القلوية مع ثنائي أكسيد الكربون تحت ضغط مقداره 100 جو ودرجة حرارة تبلغ 125 °س، ومن ثم معالجة الناتج مع حمض الكبريتيك. يكون الناتج النهائي عبارة عن هيدروكسي حمض كربوكسيلي.
سمي التفاعل نسبة إلى العالمين هيرمان كولبة ورودولف شميت Rudolf Schmitt.
مثال تطبيقي
في حال استخدام فينولات الصوديوم نحصل على ناتج نهائي من حمض الساليسيليك، والذي هو مركب طليعي لتحضير الأسبرين.[1][2][3]

في حال استخدام هيدروكسيد البوتاسيوم يمكن الحصول على حمض 4-هيدروكسي البنزويك، وهو مركب طليعي مهم لاصطناع مركبات البارابينات.
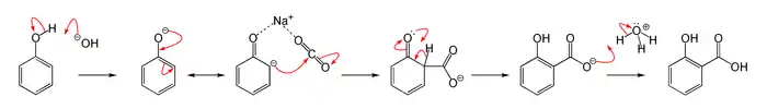
آلية التفاعل
يتم تفاعل كولبة-شميت من خلال إضافة نكليوفيلية محبة للنوى من قبل فينوكسيد، مثل فينوكسيد الصوديوم إلى ثنائي أكسيد الكربون.

المراجع
- Adolph Wilhelm Hermann Kolbe (1860). "Ueber Synthese der Salicylsäure". Annalen der Chemie und Pharmacie. 113 (1): 125–27. doi:10.1002/jlac.18601130120. الوسيط
|CitationClass=تم تجاهله (مساعدة) - R. Schmitt (1885). "Beitrag zur Kenntniss der Kolbe'schen Salicylsäure Synthese". Journal für Praktische Chemie. 31 (1): 397–411. doi:10.1002/prac.18850310130. الوسيط
|CitationClass=تم تجاهله (مساعدة) - A. S. Lindsey and H. Jeskey (1957). "The Kolbe-Schmitt Reaction". Chem. Rev. 57 (4): 583–620. doi:10.1021/cr50016a001. الوسيط
|CitationClass=تم تجاهله (مساعدة) (Review)
- بوابة الكيمياء
صور وملفات صوتية من كومنز