تفكك بيرغمان
تفكك بيرغمان (Bergmann degradation) هو سلسلة من التفاعلات الكيميائية صممت لإزالة حمض أميني واحد من حمض الكربوكسيل في نهاية الببتيد.[1][2]

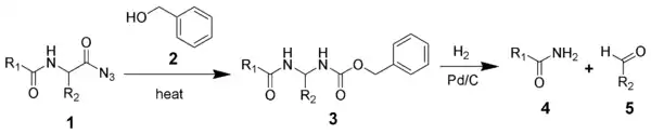
The Bergmann degradation
أسيل الأزيد من الببتيد (1) يمر باعإدة ترتيب كورتيوس في وجود الكحول بنزيل (2) ليعطي بنزيل كارباميت (3). مجموعة Cbz من المتوسط 3 يزال عن طريق تفكيك الهيدروجين ليعطي أمين غير مستبدل (4) و ألديهايد (5).
اقرأ أيضاً
المراجع
- Bergmann, M. Science 1934, 79, 439.
- Bergmann, M.; Zervas, L. J. Biol. Chem. 1936, 113, 341.
- بوابة الكيمياء
تفكك بيرغمان في المشاريع الشقيقة
صور وملفات صوتية من كومنز
This article is issued from Wikipedia. The text is licensed under Creative Commons - Attribution - Sharealike. Additional terms may apply for the media files.