تميم الإنزيم
تَميمُ الإِنْزيم[1] (بالإنجليزية: Coenzyme) هي جزيئات صغيرة عضوية بروتينية تعمل على نقل المجموعات الكيميائية بين الإنزيمات.[2] تسمى التميمات الإنزيمية أحيانا مواد تفاعل معاونة.

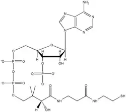
تَميمُ الإِنْزيم أيه
مراجع
- المعجم الطبي الموحد تَميمُ الإِنْزيم (ترجمة مصطلح Coenzyme) تاريخ الولوج 1 آب 2016 نسخة محفوظة 08 سبتمبر 2017 على موقع واي باك مشين.
- de Bolster, M.W.G. (1997). "Glossary of Terms Used in Bioinorganic Chemistry: Coenzymes". International Union of Pure and Applied Chemistry. مؤرشف من الأصل في 05 مايو 2017. اطلع عليه بتاريخ 30 أكتوبر 2007. الوسيط
|CitationClass=تم تجاهله (مساعدة); تحقق من التاريخ في:|تاريخ أرشيف=(مساعدة)
- بوابة الكيمياء الحيوية
في كومنز صور وملفات عن: تميم الإنزيم
This article is issued from Wikipedia. The text is licensed under Creative Commons - Attribution - Sharealike. Additional terms may apply for the media files.