توزيع خي تربيع (توزيع مربع كاي)
في نظرية الاحتمالات والإحصاء، توزيع كي-تربيع (أو توزيع مربع كاي) هو توزيع احتمالي مستمر اشتق اسمه من الحرف الأبجدي الإغريقي خي. يعتمد حساب القيمة الاحتمالية على القيمة الإحصائية المحسوبة (إحصائية خي تربيع أو مربع كاي في تلك الحالة)، ومن ثم افتراض صحة فرضية العدم (الاستقلالية). يتم حساب احتمال الحصول على قيمة أكبر من أو تساوي تلك القيمة المحسوبة اعتماداً على توزيع مربع كاي Chi Square Distribution. ونظراً لصعوبة حساب القيمة الاحتمالية يدوياً يفضل الاعتماد على مخرجات برنامج التحليل الإحصائي للحصول على القيمة الاحتمالية.
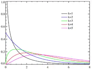
دالة الكثافة الاحتمالية ![]() | |
دالة التوزيع التراكمي ![]() | |
| المؤشرات | k ∈ N1 — درجة الطلاقة |
| الدعم | x ∈ [0, +∞) |
| د۔ك۔ح۔ | > |
| د۔ت۔ت | |
| المتوسط الحسابي | k |
| الوسيط الحسابي | |
| المنوال | max{ k − 2, 0 } |
| التباين | 2k |
| التجانف | |
| التفرطح | 12 / k |
| الاعتلاج | |
| د۔م۔ع | (1 − 2 t)−k/2 for t <½ |
| الدالة المميزة | (1 − 2 i t)−k/2 [1] |
| معلومات فيشر | {{{معلومات فيشر}}} |
بالنسبة للمعنوية (significancy)، فإذا كان المقصود وجود علاقة معنوية (في حالة استخدام اختبار مربع كاي للاستقلالية) فيمكنك المقارنة بين القيمة الاحتمالية ومستوى المعنوية المحدد للاختبار (كــ 0.05 أو 0.001 أو غيرهما من قيم). فإذا كانت القيمة الاحتمالية أصغر من مستوى المعنوية نرفض فرضية العدم والذي يعني وجود دلالة أو معنوية (علاقة ذات دلالة إحصائية أو علاقة معنوية إحصائياً).
الخواص
دالة الكثافة
يقال أن المتغير عشوائي ما أنه يتبع توزيع خي-تربيع إذا كانت دالة كثافته تعطى بالشكل التالي:
دالة التوزيع
دالة التوزيع التراكمي لمتغير عشوائي يتبع خي-تربيع تعطى بالشكل التالي:
- حيث (Γ(k/2 هي دالة غاما.
وعندما k = 2 فإنها حالة خاصة ذات صيغة أبسط:
مراجع
- M.A. Sanders. "Characteristic function of the central chi-squared distribution" (PDF). مؤرشف من الأصل (PDF) في 09 نوفمبر 2016. اطلع عليه بتاريخ 06 مارس 2009. الوسيط
|CitationClass=تم تجاهله (مساعدة); تحقق من التاريخ في:|تاريخ أرشيف=(مساعدة)
- بوابة رياضيات
- بوابة إحصاء

