تيركونازول
تيركونازول Terconazole الزمرة الدوائية تركيبه الكيماوي تريا كونازول. دواء مضاد للفطريات يطبق على المهبل. كما أنه يكون محلول أو تحميلة يعرقل التخليق الحيوي للدهون في خلية الخميرة. لديه مجموعة واسعة نسبيا بالمقارنة مع مركبات الآزول ولكن ليس مركبات الترايازول. ويظهر الاختبار أنه مركب مناسب للوقاية بالنسبة لأولئك الذين يعانون من داء المبيضات الفرجي المهبلي المزمن.
| تيركونازول | |
|---|---|
![]() | |
| الاسم النظامي | |
| 1-[4-[ [(2S,4S)-2-(2,4-Dichlorophenyl)-2-(1,2,4-triazol-1-ylmethyl)-1,3-dioxolan-4-yl]methoxy]phenyl]-4-propan-2-yl-piperazine | |
| يعالج | |
| اعتبارات علاجية | |
| اسم تجاري | Terazol |
| ASHPDrugs.com | أفرودة |
| مدلاين بلس | a688022 |
| بيانات دوائية | |
| ربط بروتيني | 94.9% |
| معرّفات | |
| CAS | 67915-31-5 |
| ك ع ت | G01G01AG02 AG02 |
| بوب كيم | CID 441383 |
| ECHA InfoCard ID | 100.061.573 |
| درغ بنك | DB00251 |
| كيم سبايدر | 390122 |
| المكون الفريد | 0KJ2VE664U |
| كيوتو | D00888 |
| ChEBI | CHEBI:9451 |
| ChEMBL | CHEMBL1306 |
| بيانات كيميائية | |
| الصيغة الكيميائية | C26H31Cl2N5O3 |
| الكتلة الجزيئية | 532.462 g/mol |
التاريخ
في عام 1940، كان أول دواء تجاري دواء مضاد للفطريات متاح في السوق. قبل هذا، كانت العلاجات المضادة للفطريات نادرة وباهظة الثمن. كان يسمى هذا العلاج الأمفوتريسين B. كان فعالا في وظيفته ولكن هو سام جدا ويستخدم فقط لالتهابات الخطيرة. كان حقن الدواء داخل الدورة دموية يمكن أن يسبب تلف الكلى وغيرها من الآثار الجانبية. تم إعطاء مركبات الآزول الأولى للإنسان تحت رعاية صارمة. كانت هذه المركبات هي imidazolesالذي يعد جزيء يحتوي على ذرتي نتروجين غير متجاورة في حلقة 5 خماسية. تم تجميع هذه في أوائل 70 أواخر 60. كان أول مشتقات الإميدازول مضاد فطري عن طريق الفم يسمى كيتوكونازول متاح في السوق عام 1981. أدوية الترايازول أساسا أتى وفي قت قصير، سرعان ما اكتسب شعبية بسبب الطيف الواسع من النشاط المضاد للفطريات وأقل سمية.[2] كان التيركونازول أول القائمة على التريازول المخدرات المضاد للفطريات مركبة للاستخدام البشري. تم تطويره من قبل يانسن للصناعات الدوائية في عام 1983.[3]
الاستعمال الطبي
تمت الموافقة على التيركونازول لعلاج داء المبيضات الفرجي المهبلي (مرض القلاع المهبلي). أنها تعمل بمثابة المضاد للفطريات واسعة الطيف أثبت لان يكون علاجا يمثل الخط الأول فعالية ضد أنواع "المبيضات" الأخرى.[4] يطبق موضعياً لعلاج داء المبيضات الفرجي المهبلي. لكنه يظهر أيضا فعالية ضد dermatomycoses في النماذج الحيوانية.[5]
- الاستخدام خلال الحمل: ينتمي هذا المحضر للمجموعة C.
التركيب الكيميائي، التفاعلية، التخليق

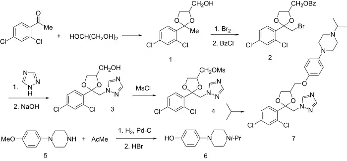
التيركونازول لديه الصيغة الكيميائية C26H31Cl2N5O3 والاسم الكيميائي 1-{[(2S,4S)-2-(2,4-dichlorophenyl)-4-{[p-(4-isopropyl-1-piperazinyl)phenoxy]methyl}-1,3-dioxolan-2-yl]methyl}-1H-1,2,4-triazole. التيركونازول لديه نقطة انصهار 126.3 درجة مئوية (259.34 °F). الوزن الجزيئي للتيركونازول هو 532.462 جرام/مول.[7]
مضادات الاستطباب
- فرط الحساسية لهذا المحضر أو لأحد مركباته.
تحذيرات
- يجب إيقافه في حال حدوث ارتكاس تحسسي أو تخريش يلي تطبيقه.
التأثيرات الجانبية
'تحدث بنسبة 1 – 10%
- بولية تناسلية: حرقة فرجية مهبلية.
الثباتية
- يجب حفظه في درجة حرارة الغرفة 13 – 30 درجة مئوية.
آلية التأثير
يثبط هذا المحضر السيتوكروم الفطري P-450 الأمر الذي يؤدي لنضوب الإرغوستيرول ضمن جدار الخلية الفطرية وبالتالي تخربه الذي يؤدي لموتها.
الجرعة
- البالغات: أدخلي applicatorful مرة واحدة يومياً ضمن المهبل لمدة 7 أيام متتالية.
الحرائك الدوائية
- الامتصاص: يعتمد معدل امتصاصه إلى الدوران الجهازي على وجود أو عدم وجود الرحم, حيث يمتص 5 – 8% عند النساء اللاتي مستأصلة أرحامهن, و12 – 16% عند اللاتي غير مستأصلة أرحامهن.
- التعليمات الخاصة بالمريضة: أدخليه عالياً ضمن المهبل، وراجعي الطبيب في حال حدوث حكة أو حرق.
المستحضرات الصيدلانية
- مرهم مهبلي: 0,4% (45 غ), 0,8% (20 غ).
- تحاميل مهبلية: 80 ملغ.
المراجع
- معرف المصطلحات المرجعية بملف المخدرات الوطني: https://bioportal.bioontology.org/ontologies/NDFRT?p=classes&conceptid=N0000147638 — تاريخ الاطلاع: 13 ديسمبر 2016
- Maertens, J. A. (March 2004). "History of the Development of Azole Derivatives". Clinical Microbiology and Infection. 10 (1): 1–10. doi:10.1111/j.1470-9465.2004.00841.x. الوسيط
|CitationClass=تم تجاهله (مساعدة) - Heeres, J; Hendrickx, R; Van Cutsem, J (April 1983). "Antimycotic azoles. 6. Synthesis and Antifungal Properties of Terconazole, a Novel Triazole Ketal". Journal of Medicinal Chemistry. 26 (4): 611–3. doi:10.1021/jm00358a032. PMID 6834396. الوسيط
|CitationClass=تم تجاهله (مساعدة) - Tolman, EL; Isaacson, DM; Rosenthale, ME; McGuire, JL; Van Cutsem, J; Borgers, M; Van den Bossche, H (June 1986). "Anticandidal Activities of Terconazole, a broad-spectrum Antimycotic". Antimicrobial Agents and Chemotherapy. 29 (6): 986–91. doi:10.1128/aac.29.6.986. PMID 3729366. الوسيط
|CitationClass=تم تجاهله (مساعدة) - Sood, G; Nyirjesy, P; Weitz, MV; Chatwani, A (2000). "Terconazole Cream for Non-Candida albicans Fungal Vaginitis: Results of a Retrospective Analysis". Infectious Diseases in Obstetrics and Gynecology. 8 (5–6): 240–3. PMID 11220485. الوسيط
|CitationClass=تم تجاهله (مساعدة) - Heeres, J.; Hendrickx, R.; Van Cutsem, J. (1983). "Antimycotic azoles. 6. Synthesis and antifungal properties of terconazole, a novel triazole ketal". Journal of Medicinal Chemistry. 26 (4): 611. doi:10.1021/jm00358a032. الوسيط
|CitationClass=تم تجاهله (مساعدة) - Fromtling, RA (April 1988). "Overview of Medically Important Antifungal Azole Derivatives". Clinical Microbiology Reviews. 1 (2): 187–217. PMID 3069196. الوسيط
|CitationClass=تم تجاهله (مساعدة)
- بوابة طب
- بوابة صيدلة
- بوابة الكيمياء
صور وملفات صوتية من كومنز
