درجة رد الفعل
درجة رد الفعل (بالإنجليزية:Degree of reaction) هي النسبة بين المحتوي الحراري (الإنثالبي) الثابت للعضو الدوار (بالإنجليزية:Rotor static enthalpy) إلي المحتوي الحراري الكلي للمرحلة التوربينية حيث أن المرحلة تتكون من (العضو الثابت + العضو المتحرك). وتعتبر درجة رد الفعل عامل مهم في تصميم التربينات والضواغط والآلات التوربينية عمومًا حيث تحدد كفاءة الآلة.[1]
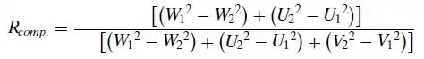
رد فعل الضاغط
بدلالة مركبات السرعة يمكن التعبير عن درجة رد الفعل في الضاغط (بالإنجليزية:Compressor) بالمعادلة الآتية:

حيث:
- V 1 وV2: مركبة السرعة المطلقة عند الدخول و الخروج علي الترتيب
- W1 وW2: مركبة السرعة النسبية عند الدخول و الخروج علي الترتيب
- U1 وU2: مركبة سرعة الريش الدوارة عند الدخول و الخروج علي الترتيب
وفي حالة الضاغط المحوري (بالإنجليزية:Axial compressor) تكون U1 = U2 ويتم التعبير عن رد الفعل بالعلاقة الآتية:

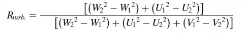
رد فعل التوربين
بدلالة مركبات السرعة يمكن التعبير عن درجة رد الفعل في التربينة (بالإنجليزية:Turbine) بالمعادلة الآتية:

و في حالة التوربين المحوري [بالإنجليزية:Axial turbine]تكون U1 = U2 ويتم التعبير عن درجة رد الفعل بالعلاقة الآتية:

القيمة المثالية لدرجة رد الفعل
تتراوح القيمة المثالية لدرجة رد الفعل بين 50 و60% معتمدة علي قيمة نصف القطر المتوسط، وفي حالة التوربينات والضواغط المحورية فإن درجة رد الفعل و يرمز لها R تساوي: •صفر>>> عندما W1 = W 2 وفي هذه الحالة يكون التوربين من النوع النبضي.
- 50%>>> عندما V1 = W2 و V2 = W1
- 100%>>>عندما V1 = V2
انظر أيضا
المراجع
- Principles of Turbomachinery in Air-Breathing Engines,Erian A Baskharone
- بوابة هندسة تطبيقية