دوت (لغة الوصف للرسم بياني)
دوت (بالإنجليزية: DOT) عبارة عن لغة لوصف الرسم بيانية بحيث يكتب ملف نصي عادي ويتم تحويله إلى رسم بياني.[1][2][3] وتعتبر لغة الدوت بسيطة يسهل قرائتها والتعامل معها وغالباً ما تكون الملفات التي تنتهي بالامتداد.GV أو.DOT
أمثلة
رسم بياني غير موجّه

رسم بياني غير موجّه
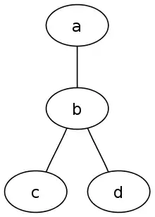
لغة دوت في أبسط استخدامها يمكنها أن تصف الرسم البياني الغير موجّه كما هو موضح العلاقات بين الأحرف (a b c d)
// The graph name and the semicolons are optional
graph graphname {
a -- b -- c;
b -- d;
}
مراجع
- "Node, Edge and Graph Attributes". graphviz.org. مؤرشف من الأصل في 19 يناير 2018. اطلع عليه بتاريخ 12 مايو 2017. الوسيط
|CitationClass=تم تجاهله (مساعدة) - "ZGRViewer". zvtm.sourceforge.net. مؤرشف من الأصل في 12 يونيو 2018. اطلع عليه بتاريخ 12 مايو 2017. الوسيط
|CitationClass=تم تجاهله (مساعدة) - "canviz: graphviz on a canvas". مؤرشف من الأصل في 31 ديسمبر 2017. اطلع عليه بتاريخ 02 يونيو 2017. الوسيط
|CitationClass=تم تجاهله (مساعدة)
- بوابة علم الحاسوب
- بوابة تقنية المعلومات
This article is issued from Wikipedia. The text is licensed under Creative Commons - Attribution - Sharealike. Additional terms may apply for the media files.