سفينغوزين
سفينغوزين[1] أو سفنغوزين[1] أو سفينجوزين[1] أو سفنجوزين[1] (بالإنجليزية: Sphingosine) والاسم العِلمي لَه هوَ 2-أمين-4-أوكتاديسين-1,3-ديول، وهوَ كحول أميني يحتوي 18 ذرة كربون مع سلسلة هيدروكربون غير مشبعة، ويُعتبر المُكون الرئيسي للشحميات السفنغولية (صنف من ليبيدات الغشاء الخلوي تتضمن السفينغوميالين).[2][3]
| سفينغوزين | |
|---|---|
![]() Skeletal formula of sphingosine | |
![]() Space-filling model of the sphingosine molecule | |
| الاسم النظامي (IUPAC) | |
(2S,3R)-2-aminooctadec-4-ene-1,3-diol | |
| المعرفات | |
| رقم CAS | 123-78-4 |
| بوب كيم (PubChem) | 5280335 |
مواصفات الإدخال النصي المبسط للجزيئات
| |
| |
| الخواص | |
| صيغة كيميائية | C18H37NO2 |
| كتلة مولية | 299.49 غ.مول−1 |
| نقطة الانصهار | 67 درجة حرارة مئوية |
| في حال عدم ورود غير ذلك فإن البيانات الواردة أعلاه معطاة بالحالة القياسية (عند 25 °س و 100 كيلوباسكال) | |
الوظيفة
يُمكن فسفرة السفينغوزين في الجسم الحي بواسطة نوعين من الكيناز، سفينغوزين كيناز النوع الأول والنوع الثاني، وهذا يؤدي إلى تشكيل سفينغوزين-1-فوسفات والذي يُعتبر ليبيد إشعاري قوي.[2][3]
تُعتبر نواتج عملية أيض الشحميات السفينغولية (مِثل السيراميد وَالسفينغوزين وَسفينغوزين-1-فوسفات) ليبيدات إشعارية تُشارك في عدد من العمليات الخلوية المُتنوعة.[2][3]
التخليق البيولوجي
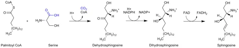
يتم تَصنيع السفينغوزين مِن السيرين وَبالميتويل تميم الإنزيم-أ، حيثُ يتم تكثيفها لإنتاج ديهيدروسفينغوزين (سفينغوزين منزوع الهيدروجين).[2][3]

ثُم يتم اختزال الديهيدروسفينغوزين إلى ثنائي هيدروالسفينغوزين (سفينغانين) بواسطة فوسفات ثنائي نيوكليوتيد الأدينين وأميد النيكوتين، وفي النهاية يتم أكسدته إلى سفينغوزين بواسطة ثنائي نيوكليوتيد الفلافين والأدينين.[2][3]
لا يُوجد طريقة مُباشرة لتحويل السفينغانين إلى سفينغوزين، فلا بد من حدوث خطوة التأسيل (إضافة أسيل) إلى ثنائي هيدروالسيراميد والذي يتحول بعد ذلك إلى سيراميد عن طريق نزع الهيدروجين. يتم تصنيع السفينغوزين من خلال تَدَرُّك الشحميات السفنغولية في الجسيم الحال.[2][3]
انظر أيضاً
مراجع
- "Al-Qamoos القاموس - English Arabic dictionary / قاموس إنجليزي عربي". مؤرشف من الأصل في 27 مارس 2017. اطلع عليه بتاريخ 26 مارس 2017. الوسيط
|CitationClass=تم تجاهله (مساعدة) - Radin N (2003). "Killing tumours by ceramide-induced apoptosis: a critique of available drugs". Biochem J. 371 (Pt 2): 243–56. doi:10.1042/BJ20021878. PMC 1223313. PMID 12558497. الوسيط
|CitationClass=تم تجاهله (مساعدة) article - Carter, H. E., F. J. Glick, W. P. Norris, and G. E. Phillips. 1947. Biochemistry of the sphingolipides. III. Structure of sphingosine. J. Biol. Chem. 170: 285–295 نسخة محفوظة 21 فبراير 2020 على موقع واي باك مشين.
روابط خارجية
- Sphingosine في المَكتبة الوَطنية الأمريكية للطب نظام فهرسة المواضيع الطبية (MeSH).
- بوابة الكيمياء الحيوية
- بوابة طب
- بوابة الكيمياء

