سلفاميرازين
سلفاميرازين أو سولفاميرازين Sulfamerazine عبارة عن مركب عضوي وهو هيدروكربون عطري متعدد الحلقات تتكون من حلقات أروماتية مدموجة ولا تحتوي على ذرات متغايرة ولا يوجد بها مستبدلات. مضاد حيوي[1] من زمرة السلفوناميدات.
| سلفاميرازين | |
|---|---|
![]() | |
| الاسم النظامي | |
| 4-amino-N-(4-methylpyrimidin-2-yl) benzenesulfonamide | |
| اعتبارات علاجية | |
| ASHPDrugs.com | أسماء الدواء الدولية |
| معرّفات | |
| CAS | 127-79-7 |
| ك ع ت | D06D06BA06 BA06 J01ED07 (WHO) QJ01EQ17 (WHO) |
| بوب كيم | CID 5325 |
| ECHA InfoCard ID | 100.004.425 |
| درغ بنك | DB01581 |
| كيم سبايدر | 5134 |
| المكون الفريد | UR1SAB295F |
| كيوتو | D02435 |
| ChEBI | CHEBI:102130 |
| ChEMBL | CHEMBL438 |
| بيانات كيميائية | |
| الصيغة الكيميائية | C11H12N4O2S |
| الكتلة الجزيئية | 264.305 g/mol |
الاستعمال الطبي
السلفانيلاميد يستخدم كعامل مضاد للجراثيم. ويمكن استخدامه لعلاج التهاب الشعب الهوائية والتهاب البروستاتا والتهابات المسالك البولية. يمتص بسرعة بعد تناوله عن طريق الفم.[2]
آلية العمل
يعمل على تثبيط تنافسي لحمض بارا أمينو بنزويك ويمنعه من الارتباط ب dihydropteroat الضروري لاصطناع حمض الفوليك.[2]
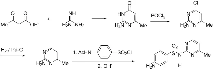
التخليق

المراجع
- Sulfamerazine - Wikipedia, the free encyclopedia
- DrugBank: Sulfamerazine نسخة محفوظة 01 أكتوبر 2016 على موقع واي باك مشين.
- Roblin, R. O.; Williams, J. H.; Winnek, P. S.; English, J. P. (1940). "Chemotherapy. II. Some Sulfanilamido Heterocycles1". Journal of the American Chemical Society. 62 (8): 2002. doi:10.1021/ja01865a027. الوسيط
|CitationClass=تم تجاهله (مساعدة) - Sprague, J. M.; Kissinger, L. W.; Lincoln, R. M. (1941). "Sulfonamido Derivatives of Pyrimidines". Journal of the American Chemical Society. 63 (11): 3028. doi:10.1021/ja01856a046. الوسيط
|CitationClass=تم تجاهله (مساعدة)
وصلات خارجية
- بوابة طب
- بوابة الكيمياء
- بوابة صيدلة
سلفاميرازين في المشاريع الشقيقة
صور وملفات صوتية من كومنز
This article is issued from Wikipedia. The text is licensed under Creative Commons - Attribution - Sharealike. Additional terms may apply for the media files.
