سلفنة عطرية
السلفنة العطرية (أو اختصاراً تفاعل السلفنة) هو تفاعل عضوي يحدث على المركبات العطرية بحيث تحل مجموعة حمض السلفونيك الوظيفية محل ذرة هيدروجين على الحلقة العطرية.[1]
يستخدم هذا التفاعل على نطاق واسع في صناعة المنظفات والأصبغة والعقاقير الدوائية.
الكيفية

يجرى تفاعل السلفنة العطرية نمطياً بالتفاعل مع حمض الكبريتيك المركز بوجود حفاز ملائم.[2]
- C6H6 + H2SO4 → C6H5SO3H + H2O
يمثل ثلاثي أكسيد الكبريت أو مشتقاته المبرتنة العامل الإلكتروفيلي (المحب للإلكترونات) الفعال في تفاعلات الاستبدال العطري المحب للإلكترونات.
لدفع مسير التفاعل يضاف عامل نازع للماء مثل كلوريد الثيونيل
- C6H6 + H2SO4 + SOCl2 → C6H5SO3H + SO2 + 2 HCl
كما يعد كلورو حمض الكبريتيك (أو كلورو حمض السلفونيك) عامل سلفنة فعال أيضاً.
- C6H6 + HSO3Cl → C6H5SO3H + HCl
على العكس من تفاعل النترتة العطرية وتفاعلات الاستبدال الإلكتروفيلية الأخرى، فإن تفاعل السلفنة العطرية يمكن أن يكون عكوساً. كما يمكن توجيه التفاعل بإضافة مجموعات ساحبة للإلكترونات على الحلقة العطرية.[3]
أمثلة
تفاعل بيريا
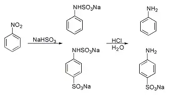
يعد تفاعل بيريا (Piria) من أمثلة تفاعلات السلفنة العطرية القديمة باستخدام أملاح لاعضوية؛ حيث يفاعل نترو البنزين مع أملاح بيكبريتيت (بيسلفيت) فلز ليشكل أمينو حمض السلفونيك بحدوث تفاعل مشترك بين الاختزال والسلفنة.[4][5]

تفاعل الأنيلين مع حمض الكبريتيك
في هذا التفاعل يفاعل الأنيلين مع حمض الكبريتيك المركز مع وجود عوما ساحبة للماء من الوسط:

اقرأ أيضاً
المراجع
- March, Jerry (1985), Advanced Organic Chemistry: Reactions, Mechanisms, and Structure (الطبعة 3rd), New York: Wiley, ISBN 0-471-85472-7 الوسيط
|CitationClass=تم تجاهله (مساعدة); الوسيط|separator=تم تجاهله (مساعدة)CS1 maint: ref=harv (link). - Otto Lindner, Lars Rodefeld "Benzenesulfonic Acids and Their Derivatives" in Ullmann's Encyclopedia of Industrial Chemistry 2005, Wiley-VCH, Weinheim. doi:10.1002/14356007.a03_507
- T.W> Graham Solomons: Organic Chemistry, 11th Edition, Wiley, Hoboken, NJ, 2013, p. 676, (ردمك 978-1-118-13357-6).
- Piria, Raffaele (1851). "Über einige Produkte der Einwirkung des schwefligsäuren Ammoniaks auf Nitronaphtalin". Annalen der Chemie und Pharmacie. 78: 31–68. doi:10.1002/jlac.18510780103. ISSN 0075-4617. الوسيط
|CitationClass=تم تجاهله (مساعدة) - THE PIRIA REACTION. I. THE OVER-ALL REACTION W. H. Hunter, Murray M. Sprung; J. Am. Chem. Soc., 1931, 53 (4), pp 1432–1443 doi:10.1021/ja01355a037.
- Siegfried Hauptmann: Organische Chemie, 2nd Edition, VEB Deutscher Verlag für Grundstoffindustrie, Leipzig, 1985, p. 511, (ردمك 3-342-00280-8).
- بوابة الكيمياء
- بوابة كيمياء عضوية