سيتيدين ثلاثي الفوسفات
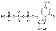
السيتيدين ثلاثي الفوسفات (بالإنجليزية: Cytidine triphosphate) (CTP) هو نوكليوسيد ثلاثي الفوسفات من البيريميدينات. مثل الـATP (أدينوسين ثلاثي الفوسفات) يتكون السيتيدين ثلاثي الفوسفات من سكر الريبوز وثلاث مجموعات فوسفات، والفرق بينهما هو القاعدة النيتروجينية سايتوسين بدل الأدينين. الـCTP ركيزة في تخليق الرنا.
| سيتيدين ثلاثي الفوسفات | |
|---|---|
![]() Skeletal formula of cytidine triphosphate as an anion (3- charge) | |
![]() Space-filling model of the cytidine triphosphate molecule as an anion (4- charge) | |
| الاسم النظامي (IUPAC) | |
[(2R,3S,4R,5R)-5-(4-amino-2-oxopyrimidin-1-yl)-3,4-dihydroxyoxolan-2-yl]methyl(hydroxy-phosphonooxyphosphoryl)hydrogen phosphate | |
| المعرفات | |
| رقم CAS | 65-47-4 |
| بوب كيم (PubChem) | 6176 |
مواصفات الإدخال النصي المبسط للجزيئات
| |
| |
| الخواص | |
| الصيغة الجزيئية | C9H16N3O14P3 |
| الكتلة المولية | 483.156 |
| في حال عدم ورود غير ذلك فإن البيانات الواردة أعلاه معطاة بالحالة القياسية (عند 25 °س و 100 كيلوباسكال) | |
الـCTP جزيء غني بالطاقة مثل الـATP لكن دوره كمزود بالطاقة محدود جدا في مجموعة فرعية من التفاعلات الأيضية. السيتيدين ثلاثي الفوسفات عامل مرافق في التفاعلات الأيضية مثل تخليق الجلسيروفوسفوليبيد وغلكزة البروتينات، ويعمل الـCTP كمثبط لإنزيم الأسبارتات الناقل للكربامويل والذي يُستخدم في تخليق البيريميدين.[1]
مراجع
- Blackburn, G. Michael. Nucleic Acids in Chemistry and Biology. The Royal Society of Chemistry, 2006, p. 119-120.
- بوابة علم الأحياء الخلوي والجزيئي
- بوابة الكيمياء الحيوية
- بوابة الكيمياء

