سيفاماندول
سيفاماندول Cefamandole هو INN[2] الزمرة الدوائية عبارة عن مضاد حيوي من الجيل الثاني للسيفالوسبورينات.السيفامندول هو مضاد حيوي واسع الطيف.[3] المستحضرات الصيدلانية:
- بودرة محلول معدة للحقن: 500ملغ (10مل)، 1غ (10مل، 100مل)، 2غ (20مل، 100مل)، 10غ (100مل).
| سيفاماندول | |
|---|---|
![]() | |
| الاسم النظامي | |
| (6R,7R)-7-{[(2R)-2-hydroxy-2-phenylacetyl]amino}- 3-[(1-methyltetrazol-5-yl)sulfanylmethyl]-8-oxo- 5-thia-1-azabicyclo[4.2.0]oct-2-ene-2-carboxylic acid | |
| يعالج | مرض معدي بالإشريكية القولونية ، وذات الرئة البكتيري ، وداء العظم المعدي ، وعدوى الجهاز التنفسي العلوي ، وعدوى الجهاز البولي ، وعدوى بكتيريا سالبة غرام ، وعدوى المكورة العنقودية [1] |
| اعتبارات علاجية | |
| اسم تجاري | former Mandol |
| ASHPDrugs.com | معلومات مايكروميدكس التفصيلية للمستهلك |
| مدلاين بلس | a601206 |
| فئة السلامة أثناء الحمل | B1 (أستراليا) |
| طرق إعطاء الدواء | حقن عضلي, علاج عن طريق الوريد |
| بيانات دوائية | |
| ربط بروتيني | 75% |
| عمر النصف الحيوي | 48 minutes |
| إخراج (فسلجة) | Mostly Renal, as unchanged drug |
| معرّفات | |
| CAS | 34444-01-4 |
| ك ع ت | J01J01DC03 DC03 |
| بوب كيم | CID 456255 |
| ECHA InfoCard ID | 100.047.285 |
| درغ بنك | DB01326 |
| كيم سبايدر | 401748 |
| المكون الفريد | 5CKP8C2LLI |
| كيوتو | D02344 |
| ChEBI | CHEBI:3480 |
| ChEMBL | CHEMBL1146 |
| بيانات كيميائية | |
| الصيغة الكيميائية | C18H18N6O5S2 |
| الكتلة الجزيئية | 462.505 g/mol |
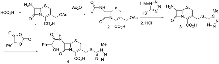
التخليق
الاستعمال الطبي
علاج الالتهابات الناجمة عن الجراثيم المتحسسة له ولا سيما أمراض الجهاز التنفسي والجلد والأنسجة الرخوة والعظام والمفاصل والجهاز البولي والالتهابات النسائية وتجرثم الدم. وفيما يلي البيانات تمثل قابلية MIC سيفامندول لبضع الكائنات الحية الدقيقة الهامة طبيا.
- الإشريكية القولونية :،12-400 ميكروغرام / مل
- المستدمية النزلية : 0,06 -> 16 ميكروغرام / مل
- المكورات العنقودية الذهبية : 0,1 حتي 12,5 ميكروغرام / مل
CO2 تم توليده أثناء البناء العادي لسيفامندول وسيفتازيديم، مما يؤدى إلى تفاعل شبه - انفجاري كما هو الحال في المحاقن.[5]
- الحمل: ينتمي لأدوية المجموعة B.
- مضادات الاستطباب: فرط الحساسية له ولأحد مكوناته أو لأحد السيفالوسبورينات.
تحذيرات
- قد يسبب استخدامه الطويل ظهور انتانات متراكبة (انتهازية).
- يوجد نسبة منخفضة من فرط الحساسية المتصالبة بينه وبين البنسلينات.
- يجب تعديل جرعته عند المريض المصاب باضطراب الوظيفة الكلوية.[3]
التأثيرات الجانبية
- تحدث بنسبة 1-10%:
- تحدث بنسبة تقل عن 1%:
- عصبية مركزية: تفعيل الجملة العصبية المركزية، اختلاجات، حمى.
- جلدية: طفح، شرى.
- دموية: كثرة الحمضات، نقص بروترومبين الدم، قلة الكريات البيض والصفيحات.
- كبدية: يرقان ركودي، ارتفاع عابر في تراكيز الخمائر الكبدية.
- موضعية: ألم عند موضع احقن.
- متنوعة: إنتانات انتهازية.[6]
زيادة الجرعة والتسمم:
التداخلات الدوائية
- سجل حدوث ارتكاس شديد شبيه بذلك الناجم عن الديسولفيرام عندما أخذ خلال 72 ساعة من تناول الكحول.
- يتقوى التأثير الخافض لتركيز بروثرومبين المصل عند إشراكه مع الهيبارين والوارفارين
- قد ينقص البروبنسيد إطراح السيفالوسبورينات مما يؤدي لتفاقم تأثيرها.
- قد يبدي الفورسميد والأمينوغلكوزيدات تأثير سام للكلية يتعاضد مع نظيره الناجم عن هذا المحضر.
الثبات
- بعد تحضير المحلول يتحرر غاز ثاني أكسيد الكربون مما يسمح له بأن يرشف دون هواء مختلط معه، يبقى حينها المحلول ثابت لمدة 24ساعة بحرارة الغرفة و96ساعة فيما لو حف في البراد.
- تبقى المحاليل المعدة للحقن الوريدي (الممزوج مع محلول ديكستروز 5% أو محلول سالين الفزيولوجي)، ثابتة بدرجة حرارة الغرفة لمدة 24ساعة ولمدة أسبوع فيما لو حفظت في البراد ولمدة 62 أسبوع فيما لو جمّد.
آليته
يثبط عملية صنع الجدار الخلوي الجرثومي بارتباطه مع واحد أو أكثر من بروتينات الاتحاد مع البنسلين PBPs، الأدمر الذي يؤدي إلى تثبيط نقل الببتيدات الذي يعد الخطوة الأخيرة من عملية تصنيع الغليكوجين الببتيدي الذي بدوره يدخل في تركيب متن الجدار الخلوي الجرثومي. كل ما سبق سيؤدي إلى انحلال واضمحلال الجرثوم تحت تأثير الخمائر الحالة الذاتية التي تتفعل عندئذ دون قيد أو ضابط.[3]
الحرائك الدوائية
- التوزيع: يتوزع بشكل جيد ضمن أنحاء الجسم باستثاناء السائل الدماغي الشوكي حيث أن انتشاره عبر الحاجز الدماغي ضعيف حتى لو كانت السحايا ملتهبة، يخضع للدوران المعوي الكبدي بشكل كبير ويظهر ضمن الصفراء بتراكيز عالية.
- الارتباط البروتيني:56-78%
- الاستقلاب: لا يستقلب.
- العمر النصفي: 30-60 دقيقة.
- يصل تركيزه المصلي لذروته خلال 1-2 ساعة من الحقن العضلي، وخلال 10 دقائق من الحقن الوريدي.
- الإطراح: يخضع للدوران المعوي الكبدي بشكل مفرط ويظهر ضمن الصفراء بتراكيز عالية، يطرح الجزء الأكبر من الدواء غير متبدل مع البول.
الجرعة
- الأطفال (حقن عضلي أو وريدي): 100-150ملغ/كغ/يوم تقسم على 4-6 دفعات.
- البالغين (حقن عضلي أو وريدي): 4-12غ/يوم تقسم على 4-6 دفعات أو 500-1000ملغ كل 4-8 ساعات، الجرعة القصوى للدفعة الواحدة هي 2غ.
- تعدل الفواصل بين الجرعات عند مريض القصور الكلوي على الشكل التالي:
- تصفية الكرياتينين 25-50مل/د: 1-2غ كل 8ساعات.
- تصفية الكرياتينين 10-25مل/د: 1غ كل 8ساعات.
- تصفية الكرياتينين <10مل/د: 1غ كل 12ساعة.
- يزال حوالي 20-50% من جرعته بالديلزة الدموية.
التداخلات المخبرية
مصادر
- معرف المصطلحات المرجعية بملف المخدرات الوطني: https://bioportal.bioontology.org/ontologies/NDFRT?p=classes&conceptid=N0000147750 — تاريخ الاطلاع: 13 ديسمبر 2016
- Cefamandole - Wikipedia, the free encyclopedia
- NCBI - WWW Error Blocked Diagnostic نسخة محفوظة 03 أبريل 2016 على موقع واي باك مشين.
- (PDF) https://web.archive.org/web/20160303224932/http://www.toku-e.com/Assets/MIC/Cefamandole%20sodium%20salt.pdf. مؤرشف من الأصل (PDF) في 3 مارس 2016. الوسيط
|CitationClass=تم تجاهله (مساعدة); مفقود أو فارغ|title=(مساعدة) - Stork CM (2006). "Antibiotics, antifungals, and antivirals". In Nelson LH, Flomenbaum N, Goldfrank LR, Hoffman RL, Howland MD, Lewin NA (eds.) (المحرر). Goldfrank's toxicologic emergencies. New York: McGraw-Hill. صفحة 847. ISBN 0-07-143763-0. اطلع عليه بتاريخ 03 يوليو 2009. الوسيط
|CitationClass=تم تجاهله (مساعدة)صيانة CS1: أسماء متعددة: قائمة المحررون (link) صيانة CS1: نص إضافي: قائمة المحررون (link) - Cefamandole Side Effects in Detail - Drugs.com نسخة محفوظة 11 سبتمبر 2015 على موقع واي باك مشين.
- DrugBank: Cefamandole نسخة محفوظة 18 أغسطس 2016 على موقع واي باك مشين.
- بوابة الكيمياء
- بوابة صيدلة

