سيفورانيد
سيفورانيد Ceforanide نجد أن الزمرة الدوائية مضاد حيوي[1] من الجيل الثاني للسيفالوسبورينات.[2][3]
| سيفورانيد | |
|---|---|
![]() | |
| الاسم النظامي | |
| (6R,7R)-7-{[2-[2-(aminomethyl)phenyl]acetyl]amino}-3- {[1-(carboxymethyl)tetrazol-5-yl]sulfanylmethyl}-8-oxo- 5-thia-1-azabicyclo[4.2.0]oct-2-ene-2-carboxylic acid | |
| اعتبارات علاجية | |
| ASHPDrugs.com | أسماء الدواء الدولية |
| طرق إعطاء الدواء | حقن عضلي |
| بيانات دوائية | |
| ربط بروتيني | 80.6% |
| استقلاب (أيض) الدواء | Nil |
| عمر النصف الحيوي | 2.6 to 2.98 hours |
| إخراج (فسلجة) | Renal |
| معرّفات | |
| CAS | 60925-61-3 |
| ك ع ت | J01J01DC11 DC11 |
| بوب كيم | CID 43507 |
| درغ بنك | DB00923 |
| كيم سبايدر | 39656 |
| المكون الفريد | 8M1YF8951V |
| كيوتو | D00259 |
| ChEBI | CHEBI:3495 |
| ChEMBL | CHEMBL1201046 |
| NIAID ChemDB | 007642 |
| بيانات كيميائية | |
| الصيغة الكيميائية | C20H21N7O6S2 |
| الكتلة الجزيئية | 519.556 g/mol |
الاسم العلمي وفقاً لـ IUPAC
(6R,7R)-7-{[2-[2-(aminomethyl)phenyl]acetyl]amino}-3- {[1-(carboxymethyl)tetrazol-5-yl]sulfanylmethyl}-8-oxo- 5-thia-1-azabicyclo[4.2.0]oct-2-ene-2-carboxylic acid [4]
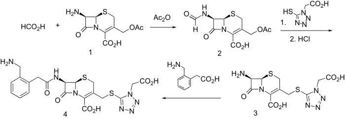
التخليق
يتم تصنيعه ب الطرق المشابهة لتخليق السيفامندول، وتختلف في أن الحمض الأسيلي المستبدل كان o - أمينو فينيل الميثيل حمض الخليك، وأيضا في وجود مجموعة الكربوكسيل في الميثيل المستبدلة في حلقة التترازول.

التمهيد
الميزة البنيوية للسيفورانيد التي هي موضع اهتمام خاص هي حركة C-7 من السلسلة الجانبية للأمينو الشاردة من الموقع α لأميد الكربونيل، حيث يتواجد عادة في الأمبسلين / السيفالكسين المتناظره، حتى يتم إيداعها على المثيلين المرفقة إلى الوضع أورثو على الحلقة العطرية. هذا يضعه هندسيا في نفس المنطقة عامة ولكن يغير إلى حد كبير الطابع الإلكتروني للجزيء بعد protonation.

الحرائك الدوائية
- الارتباط البروتيني: 80.6%
- الاستقلاب: لا يوجد.
- العمر النصفي: 2.6-2.98 ساعات.
- الإطراح: كلوي.[5]
مصادر
- Ceforanide - Wikipedia, the free encyclopedia
- NCBI - WWW Error Blocked Diagnostic نسخة محفوظة 22 مايو 2015 على موقع واي باك مشين.
- Human Metabolome Database: Showing metabocard for Ceforanide (HMDB15059) نسخة محفوظة 03 يوليو 2015 على موقع واي باك مشين.
- Ceforanide - Drugs.com نسخة محفوظة 03 مارس 2016 على موقع واي باك مشين.
- DrugBank: Ceforanide نسخة محفوظة 23 أغسطس 2016 على موقع واي باك مشين.
- Crowle AJ, Sbarbaro JA, May MH: Effects of isoniazid and of ceforanide against virulent tubercle bacilli in cultured human macrophages. Tubercle. 1988 Mar;69(1):15-25. [3140456 ]
وصلات خارجية
- Crowle A, Sbarbaro J, May M (1988). "Effects of isoniazid and of ceforanide against virulent tubercle bacilli in cultured human macrophages". Tubercle. 69 (1): 15–25. doi:10.1016/0041-3879(88)90036-0. PMID 3140456. الوسيط
|CitationClass=تم تجاهله (مساعدة)صيانة CS1: أسماء متعددة: قائمة المؤلفون (link) - Campoli-Richards D, Lackner T, Monk J (1987). "Ceforanide. A review of its antibacterial activity, pharmacokinetic properties and clinical efficacy". Drugs. 34 (4): 411–37. doi:10.2165/00003495-198734040-00001. PMID 3315624. الوسيط
|CitationClass=تم تجاهله (مساعدة)صيانة CS1: أسماء متعددة: قائمة المؤلفون (link) - Cone L, Barton S, Woodard D (1987). "Treatment of scleroma with ceforanide". Arch Otolaryngol Head Neck Surg. 113 (4): 374–6. doi:10.1001/archotol.1987.01860040036012. PMID 3814386. الوسيط
|CitationClass=تم تجاهله (مساعدة)صيانة CS1: أسماء متعددة: قائمة المؤلفون (link)
- بوابة صيدلة
- بوابة طب
