صيغة بنيوية
عديد من المركبات الكيميائية, وخاصة الهيدروكربونات, يمكن أن تتواجد في أشكال هندسية عديدة. تمثل الصيغة البنيوية ترتيبات الذرات بطريق لا تستطيعها المعادلة الكيميائية.[1][2]
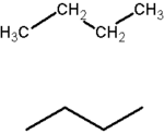
وأحد مميزات الصيغ البنيوية هي قدرتها على وصف بناء المركب (شاهد متزامر) " isomer". ومثل بسيط لهذا يمكن أن يلاحظ في أحد الهيدروكربونات, البيوتان, C4H10. يمكن للأربع ذرات كربون أن تترتب في شكل خطي، أو في شكل متفرع على شكل حرف "T". ويعرف الترتيب الأول باسم "أورثوبوتان" أ, "إن-بوتان", أما الترتيب الثاني فيعرف باسم "أيزوبيوتان".
لاحظ أن يعبر الشكل الخطي للمركبات العضوية في المعادلة البنائية أن يكون هناك ذرات كربون في أخر الخط (السلسلة). وكل ذرة كربون بدورها يفترض أنها مرتبطة بعدد ذرات الهيدروجين الكافية ليصبح لكل ذرة كربون أربع روابط. وموضح بالشكلين كل من المعادلة البنائية كاملة ومختصرة.
![]() "إن"-بوتان |
ويمكن وصف الصيغة البنيوية بدقة عن طريق تسمية IUPAC. فمثلا في حالة أيزوبيوتان، الاسم الصحيح طبقا لتسمية IUPAC هو ميثيل بروبان.
البناء الحلقي
يمكن تمثيل الشكل الحلقي طبقا لعدد ذرات الكربون بها. ويمكن ان تمثل هذه الصيغ أيضا ب(الجزيئات ثلاثية الابعاد) مثل: الطريقة الوتدية، طريقة نيومان، الحصان الخشبي، الكرسي.
وصلات خارجية
المصادر
- بوابة الكيمياء
- بوابة علوم
- "معلومات عن صيغة بنيوية على موقع britannica.com". britannica.com. مؤرشف من الأصل في 10 أغسطس 2016. الوسيط
|CitationClass=تم تجاهله (مساعدة) - "معلومات عن صيغة بنيوية على موقع dx.doi.org". dx.doi.org. مؤرشف من الأصل في 09 ديسمبر 2019. الوسيط
|CitationClass=تم تجاهله (مساعدة)
