علاقات تدفق فانو
علاقات تدفق فانو (بالإنجليزية:Fanno flow relationships): في النصوص الخاصة بالديناميكا الهوائية الداخلية، مناقشة علاقات فانو عادة ما تتم بتحليل أحادي البعد، حيث يتم تطبيق مبادئ بقاء الطاقة و بقاء الكتلة و بقاء كمية الحركة.و نتيجة ذلك كما متوقع تنشأ مجموعة من العلاقات المرتبطة بالخصائص الفيزيائية الحرارية( بالإنجليزية:thermophysical properties) عند نقاط مختلفة علي محور قناة ثابتة المساحة.[1][2]
العلاقات
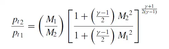
العلاقة الأولي
توضح هذه العلاقة مقدار التغير في الضغط الكلي (Pt1 -Pt2) خلال القناة حيث Pt1 و Pt2 الضغط الكلي عند مدخل ومخرج القناة علي الترتيب، و M1 و M2 رقم ماخ عند مدخل ومخرج القناة علي الترتيب.

العلاقة الثانية
تربط هذه العلاقة بين طول القناة [بالإنجليزية:Duct length] و التغير في رقم ماخ خلال القناة.

حيث :
- f: معامل الإحتكاك
- M1 و M2:رقم ماخ عند مدخل ومخرج القناة علي الترتيب
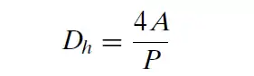
- Dh: القطر الهيدروليكي للقناه
و يمكن تعريف القطر الهيدروليكي للقناة بالعلاقة التالية حيث A مساحة المقطع و P المحيط.

اقرأ أيضا
المراجع
- Principles of Turbomachinery in Air-Breathing Engines
- Fluid Mechanics Fundamentals and Applications, Third Edition - Yunus A. Çengel, John M. Cimbala (McGraw-Hill, 2014)
- بوابة الفيزياء