غليبورنوريد
غليبورنوريد هو أحد خافضات سكر الدم من مجموعة السلفونيليوريا.[3]
| غليبورنوريد | |
|---|---|
![]() غليبورنوريد | |
| الاسم النظامي (IUPAC) | |
1-(6-hydroxy-1,7,7-trimethyl-5-bicyclo[2.2.1]heptanyl)-3-(4-methylphenyl)sulfonylurea | |
| المعرفات | |
| رقم CAS | 26944-48-9 |
| بوب كيم (PubChem) | 33649 |
مواصفات الإدخال النصي المبسط للجزيئات
| |
| الخواص | |
| الصيغة الجزيئية | C18H26N2O4S |
| الكتلة المولية | 366.48 g/mol |
| كود ATC | A10 |
| في حال عدم ورود غير ذلك فإن البيانات الواردة أعلاه معطاة بالحالة القياسية (عند 25 °س و 100 كيلوباسكال) | |
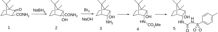
الاصطناع

تخليق غليبورنوريد:[4] طالع أيضا: U.S. Patent 3٬770٬761; eidem, U.S. Patent 3٬654٬357 (لهوفمان لا روش).
غليبورنوريد هو مشتق نهائي من كامفور-3-كاربوكسامود بواسطة تفاعل بوروهيدريد، يتبعه إعادة ترتيب هوفمان إلى كاربامات، يتبعه استبدال بتوسيلاميد الصوديوم.
المصادر
- معرف بوب كيم: https://pubchem.ncbi.nlm.nih.gov/compound/12818200 — تاريخ الاطلاع: 19 نوفمبر 2016 — العنوان : GLIBORNURIDE — الرخصة: محتوى حر
- معرف بوب كيم: https://pubchem.ncbi.nlm.nih.gov/compound/12818200
- Haupt E, Köberich W, Beyer J, Schöffling K (December 1971). "Pharmacodynamic aspects of tolbutamide, glibenclamide, glibornuride and glisoxepide. I. Dose response relations and repeated administration in diabetic subjects". Diabetologia. 7 (6): 449–54. doi:10.1007/bf01212061. PMID 5004178. الوسيط
|CitationClass=تم تجاهله (مساعدة)صيانة CS1: أسماء متعددة: قائمة المؤلفون (link) - Bretschneider, H.; Hohenlohe-Oehringen, K.; Graßmayr, K. (1969). "Arylsulfonylureido- und Arylsulfonylamidoacyl-derivate von Oxy- und Oxo-cycloalkanen als potentielle Antidiabetica". Monatshefte für Chemie. 100 (6): 2133. doi:10.1007/BF01151769. الوسيط
|CitationClass=تم تجاهله (مساعدة)
غليبورنوريد في المشاريع الشقيقة
صور وملفات صوتية من كومنز
- بوابة الكيمياء
- بوابة صيدلة
This article is issued from Wikipedia. The text is licensed under Creative Commons - Attribution - Sharealike. Additional terms may apply for the media files.
