فوسفاتيديل سيرين
فوسفاتيديل سيرين هو شمحي فسفوري (فوسفوليبيد) يُكوِّن غشاء الخلية. ويلعب دوراً رئيسياً في دورة الإشارات الخلوية وتحديداً في العلاقة مع موت الخلايا، فإنه المسار الرئيسي لدخول الفيروسات للخلية عن طريق التمويه الفيروسي المميت.
| فوسفاتيديل سيرين | |
|---|---|
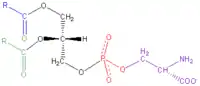
![]() مكونات الفوسفاتيديل سيرين:
أزرق، أخضر: مجموعات أحماض دهنية متغيرة
الأسود: جليسرول
الأحمر: فوسفات
البنفسجي: سيرين مكونات الفوسفاتيديل سيرين:
أزرق، أخضر: مجموعات أحماض دهنية متغيرة الأسود: جليسرول الأحمر: فوسفات البنفسجي: سيرين | |
| المعرفات | |
| CAS | 1446756-47-3 |
| في حال عدم ورود غير ذلك فإن البيانات الواردة أعلاه معطاة بالحالة القياسية (عند 25 °س و 100 كيلوباسكال) | |
البناء
فوسفاتيديل سيرين هو شمحي فسفوري (وتحديداً جليسروفوسفوليبيد). وهو يتكون من اثنين من الأحماض الدهنية التي تتعلق في الربط استر إلى الكربون الأول والثاني من الجلسرين؛ والسرين يتعلق من خلال الربط الفوسفودايدي إلى الكربون الثالث من الجلسرين.[1]
الفوسفاتيديل سيرين القادم من النباتات يختلف عن الفوسفاتيديل سيرين القادم من الحيوانات في تكوين الأحماض الدهنية.[2]
المراجع
- 1942-, Nelson, David L. (David Lee), (2008). Lehninger principles of biochemistry (الطبعة 5th ed). New York: W.H. Freeman. ISBN 071677108X. OCLC 191854286. مؤرشف من الأصل في 20 يناير 2010. الوسيط
|CitationClass=تم تجاهله (مساعدة)CS1 maint: extra punctuation (link) CS1 maint: numeric names: قائمة المؤلفون (link) صيانة CS1: نص إضافي (link) - "Scientific Opinion on the substantiation of health claims related to phosphatidyl serine (ID 552, 711, 734, 1632, 1927) pursuant to Article 13(1) of Regulation (EC) No 1924/2006". EFSA Journal (باللغة الإنجليزية). 8 (10). 2010-10-01. doi:10.2903/j.efsa.2010.1749/abstract. ISSN 1831-4732. مؤرشف من الأصل في 21 فبراير 2018. الوسيط
|CitationClass=تم تجاهله (مساعدة)
- بوابة الكيمياء
- بوابة صيدلة
- بوابة علم الأحياء
- بوابة الكيمياء الحيوية
This article is issued from Wikipedia. The text is licensed under Creative Commons - Attribution - Sharealike. Additional terms may apply for the media files.
