فيروكيلاتاز
فيروكيلاتاز [1] (ممخلبة الحديد) هو إنزيم يُشفَّر من جين FECH عند البشر.[2]

فيروكيلاتاز
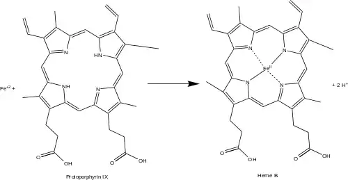
يحفِّز إنزيم فيروكيلاتاز الخطوةَ الثامنة والأخيرة من التخليق الحيوي لجزيء الهيم وذلك بتحويل بروتوبورفيرين 9 إلى هيم B، حيث يحدث تفاعل استخلاب مع أيونات الحديد الثنائي (الحديدوز):

طالع أيضاً
مراجع
- المعجم الطبي الموحد - مكتبة لبنان ناشرون نسخة محفوظة 20 يوليو 2019 على موقع واي باك مشين.
- FECH - Ferrochelatase, mitochondrial precursor - Homo sapiens (Human) - FECH gene & protein نسخة محفوظة 8 يونيو 2019 على موقع واي باك مشين.
- بوابة الكيمياء الحيوية
- بوابة طب
- بوابة علم الأحياء
- بوابة علم الأحياء الخلوي والجزيئي
This article is issued from Wikipedia. The text is licensed under Creative Commons - Attribution - Sharealike. Additional terms may apply for the media files.