قانوني فيك للانتشار
قانوني فيك للانتشار (بالإنجليزية: Fick's laws of diffusion) عبارة عن قانونين يمثلان انتشار المواد عند غشاء نافذ ويحسبان تدفق الكتل عبر الغشاء، كما ويمثلان الانتشار الذاتي لمادة في محلول أو خليط ما.[1] ويسمى هذان القانونان باسم العالم الألماني أدولف فيك الذي اشتقهما عام 1855.
قانون فيك الأوّل
يربط هذه القانون بين تدفق الانتشار مادّة في وسط ما وحقل التركيز لهذه المادّة. الفرضية الكامنة في هذا القانون هو أنّ التدفق يكون من المناطق ذات التركيز المرتفع في الحقل إلى المناطق ذات التركيز المنخفض، بمقدار يتناسب مع تدرج التراكيز في الحقل. لذا، فإذا افترضنا أنّ التدرج موجود فقط على امتداد محور x (أي أنّه لا تغيير في التركيز في المحورين المعامدين)، فإنّ تدفق الانتشار يحقّق:
بحيث أن:
- J هو تدفق الانتشار، بوحدات ، وهو يقيس كميّة المادّة المتدفّقة عبر مساحة صغيرة خلال فترة قصيرة من الزمن؛
- D هو معامل الانتشار، أو الانتشارية، بوحدات وهو يتعلّق بنوع المادة، ويعبّر عن المساحة التي تنتشر إليها مادّة معيّنة خلال فترة زمنية قصيرة؛
- هو تركيز المادّة، بوحدات ؛
- x هو إحداثي ويدل على الموقع الذي يتم به حساب التدفق، بوحدات ().
يجدر الذكر أنّ المعامل هو الوحيد في قانون فيك الذي يمت بصلة لنوع المادّة، وهو يتناسب طرديًا مع مربّع سرعة جزيئات المادّة، أي أنّه يتعلّق بدرجة الحرارة بلزوجة الوسط الذي تتحرّك فيه الجزيئات وبحجم الجزيئات، وفق علاقة ستوكس-أينشتاين. بالإضافة إلى ذلك، فإنّ إشارة الناقص تشير إلى أنّ اتجاه التدفق يكون عكس اتجاه التدرج؛ فمثلاً، إذا ارتفع تركيز المادة على امتداد الاتجاه التصاعدي لـ x، فإنّ التدفق سيكون بالاتجاه التنازلي لقيم x.
كذلك، يذكر أنّه بعدم وجود أية قوى أخرى تؤثر على المادّة (بما في ذلك قوى تكون بين جزيئات المادّة نفسها)، فإنّ كل جزيء للمادّة سيتحرك بشكل عشوائي في الفراغ. لكن بسبب وجود تدرج تراكيز، فمن ناحية إحصائية سيكون هنالك عدد أكبر من جزيئات المادة الموجودة في أماكن التركيز المرتفع التي تتحرك نحو أماكن التركيز المنخفض؛ أي أنّه، بالمجمل، سوف تشهد حركة جزيئات نحو أماكن التركيز المنخفض، مع أنّ هذا لا ينفي تحرك جزء من الجزيئات من أماكن التركيز المنخفض نحو أماكن ذات تركيز أكثر ارتفاعًا بالذات. وهذا هو بالضبط المقصود من قانون فيك الأوّل للانتشار - فإنّه ينظر إلى حقل التركيز، وليس إلى حركة كل جزيء على حدة: بالمجمل، هنالك تدفق لجزيئات المادّة بمقدار يتناسب مع تدرج حقل التراكيز.
أمّا إذا كان حقل التراكيز متغيّرًا بأبعاده الثلاثة، فإنّ تدفق الانتشار في هذه الحالة يحسب وفق تعميم رياضي للقانون السابق:
بحيث أنّ هو التدرج ثلاثي الأبعاد لحقل التراكيز: .
أخيرًا، يذكر هنا أنّ القوانين أعلاه، حيث القوة الدافعة للانتشار هي تدرج التركيز، صحيحة فقط لمحلول أو خليط مثالي. أمّا في منظومات كيميائيّة أخرى، فإنّ القوة الدافعة لانتشار كل مادة في الخليط هي تدرّج الكمون الكيميائي لتلك المادّة. هنا، يتحوّل قانون فيك الأوّل (بصيغته أحادية البعد) إلى:
بحيث أنّ:
- هو تركيز المادّة i بوحدات ؛
- هو ثابت الغازات العام بوحدات ؛
- هي درجة الحرارة المطلقة بوحدات ؛
- هو الجهد الكيميائي (الكمون الكيميائي) للمادّة i بوحدات .
قانون فيك الثاني
إذا ما استمرّت عملية الانتشار فترة كافية، أو إذا كانت عملية الانتشار سريعة، فإنّها ستؤدي في نهاية المطاف إلى تغيير حقل التركيز. قانون فيك الثاني يعطي تصورًا لتلك التغييرات التي تطرأ في حقل التركيز نتيجة عملية الانتشار:
بحيث أنّ t هو الاحداثي الزمني (بوحدات الثانية، مثلاً)، وباقي الرموز هي كالسابق.
اشتقاق القانون الثاني

لنفرض أنّ التركيز يتغيّر فقط باتجاه محور x. إذا ما طبّقنا قانون حفظ المادة على حجم موحل في الصغر ذو مساحة وسمك لامتناهٍ في الصغر ، كما في الرسم، نحصل على المعادلة الآتية:
أو:
الجهة اليسرى من المعادلة تعطينا الكمية الكلية للمادة في الحجم الذي نتمعّن به حاليًا. أمّا الجهة اليمنى، فهي عبارة عن الفرق بين كميّة المادّة التي تتدفّق بين جهتي الحجم (السطح الأخضر في الرسم والسطح المقابل له). حسب قانون حفظ المادّة، وإذا فرضنا أنّه بداخل الحجم أعلاه لا تتكوّن أو تختفي أي جزيئات من المادة (أي لا يوجد مصدر أو مصرف للمادة في الحجم)، فإنّ الفرق بين الكميات المتدفقة من الجهتين يساوي الكمّيّة الموجودة في داخل الحجم بكل لحظة.
من الواضح أنّه باختزال A، وبتعديلات جبرية طفيفة، بالإمكان إحالة المعادلة إلى الصورة التالية:
لكن العلاقة بين تدفق الانتشار وبين تركيز المادة معروفة من قانون فيك الأوّل:
بالخطوة الأخيرة فرضنا أن معامل الانتشار، D، لا يتغير مع x، ولذلك بالإمكان إخراجه من المشتقة الجزئية والحصول على قانون فيك الثاني.
القانون العام
قانون فيك الثاني العام (ثلاثي الأبعاد) يكتب بالصورة التالية:
وهو معروف أيضًا باسم معادلة الحرارة، بحيث أنّ:
أما إذا كان معامل الانتشار يتعلق بالاحداثيات المكانيّة فيكون قانون فيك الثاني على الصورة الآتية:
حالات فريدة
- إحدى الحالات التي من المهم معاينتها هي الحالة الراسخة التي لا يتغيّر فيها حقل التراكيز مع الزمن، أي أنّ المشتقة الجزئية بالمتغير t تساوي صفر. في هذه الحالة نحصل من قانون فيك الثاني على معادلة لابلاس:
- ويطلق الرياضيون على حلول هذه المعادلة (التي تتعلّق بالشروط الحدودية للمسألة) اسم الدوال التوافقية.

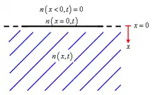
- إحدى حالات الانتشار التي من السهل حلّها، نسبيًا، هي انتشار في وسط نصف لا-نهائي، يتغير فيه تركيز المادة المنتشرة باتجاه واحد فقط (انظر الرسم). الشرط الحدودي في المستوى يحدّد نوعيّة الحل الناتج لمعادلة فيك.
- لأنّ قانون فيك الثاني أحادي البعد يحتوي على ثلاثة عمليات اشتقاق (اثنتان بالمتغيّر x وواحدة بالمتغير t)، سوف نحتاج إلى ثلاثة شروط حدوديّة لحل المسألة بكاملها. إحدى الحالات البسيطة هي:
- ، ويسمى أيضًا شرط ابتدائي أو أوّلي، ويمثل كون المادة بتركيز أوّلي متساوٍ في كل مكان في اللحظة ؛
- ، وهو يعبّر عن كون تركيز المادّة في النقاط البعيدة بعدًا هائلاً عن الحد مساويًا دائمًا للتركيز الأوّلي (أي لكل t) ولن يتأثر أبدًا بعمليّة الانتشار بسبب البعد الزمني والمكاني.
- أمّا بالنسبة للشرط الحدودي الثالث والأهم، في المستوى ، فسنمعن النظر في شرطين مختلفين:
الشرط الأوّل
- ينص الشرط الأوّل على أنّ التركيز على طول المستوى يبقى ثابتًا بكل نقطة زمنيّة، أيّ:
- في هذه الحالة فإنّ الحل الناتج سيكون:
- بحيث أنّ هي دالة تابع الارتياب، تحقّق:
- و هي الدالة المتممة لها.
الشرط الثاني
- الشرط الثاني ينص على أنّ تدفّق الانتشار في المستوى ، والذي نحصل عليه من قانون فيك الأوّل، هو ثابت مع الزمن:
- في هذه الحالة، يكون حل الانتشار هو:
- يشار إلى أنّ الكميّة ذات وحدات مسافة وتسمّى مسافة الانتشار، لكونها تظهر في الحلول أعلاه دائمًا في مقام كسر بسطه هو ، وهي تعطي مقياسًا لمدى انتشار جزيئات المادة في زمن t.
انظر أيضًا
مراجع
- "معلومات عن قانوني فيك للانتشار على موقع britannica.com". britannica.com. مؤرشف من الأصل في 26 ديسمبر 2015. الوسيط
|CitationClass=تم تجاهله (مساعدة)