كربوبروست
كربوبروست (اسم دولي غير مسجل الملكية، والاسم التجاري لأملاح تروميثامين هيمابات، ثام) (بالأنجليزية: Carboprost) هو النظير الاصطناعي للبروستاغلاندين في بروستاغلاندين F2α (على وجه التحديد، هو 15-ميثيل-بروستاغلاندين F2α) مع خصائص أوكسيتوسينية.
| كربوبروست | |
|---|---|
![]() | |
| الاسم النظامي | |
| (5Z,9α,11α,13E,15S)-9,11,15-ثلاثي هيدروكسي-15- ميثيل بروستا-5,13-لاحقة-1-حمض الأويك | |
| يعالج | |
| اعتبارات علاجية | |
| ASHPDrugs.com | معلومات مايكروميدكس التفصيلية للمستهلك |
| مدلاين بلس | a600042 |
| فئة السلامة أثناء الحمل | c |
| طرق إعطاء الدواء | الحقن العضلي |
| معرّفات | |
| CAS | 35700-23-3 |
| ك ع ت | G02G02AD04 AD04 |
| بوب كيم | CID 5281075 |
| درغ بنك | DB00429 |
| كيم سبايدر | 4444532 |
| المكون الفريد | U4526F86FJ |
| كيوتو | C06872 |
| ChEMBL | CHEMBL1237122 |
| بيانات كيميائية | |
| الصيغة الكيميائية | C21H36O5 |
| الكتلة الجزيئية | 368.508 g/mol |
حيث يحفز كربوبروست الانقباضات، ويمكن أن يؤدي إلى الإجهاض في وقت مبكر من الحمل. كما أنه يقلل من النزف التالي للوضع.
دواعي الاستعمال
يستخدم كربوبروست في حالات نزيف ما بعد الولادة الناجم عن ونى الرحم عندما لا يمكن السيطرة عليه باستخدام الأساليب الأخرى. وقد أظهرت إحدى الدراسات أن الكربوبروست تروميثامين أكثر فعالية من الأوكسيتوسين في منع نزيف ما بعد الولادة في المرضى الذين يكونون عرضة له بنسبة عالية ويخضعون للولادة القيصرية.[2] كما يستخدم كربوبروست لإنهاء الحمل في الثلث الثاني من الحمل.[3]
استخدامات غير مصنفة:
- التهاب المثانة النزفي
- مرض التهاب الحوض
موانع الاستعمال
يمنع استعمال كربوبروست في حالات أمراض القلب والأوعية الدموية، والكلى، والكبد الحادة، وأيضا في حالة مرض التهاب الحوض الحاد. كما يمنع استعماله أيضا في حالة فرط الحساسية للكاربوبروست أو أي من مكوناته.[3] ويجب توخي الحذر لدى مرضى الربو؛ لأن كربوبروست قد يسبب تشنج قصبي.
الاحتياطات
- الربو
- فقر الدم
- اليرقان
- السكرى
- نوبات الصرع
- جراحة رحم سابقة
التخزين والتوافر
يتم إعطاء كربوبروست مع المشتق الملحي تروميثامين في أمبولات 1 ملليلتر تحتوي على محلول 250 ميكروغرام/ ملليلتر من الدواء النشط. ويجب أن يتم تبريد الدواء في درجة حرارة بين 2-8 درجة مئوية.[3]
التصنيع
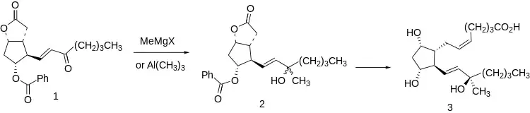
يتم تعطيل التحول الأيضي للبروستاغلاندين الطبيعي عم طريق الأكسدة الأنزيمية لهيدروكسيل C-15 إلى الكيتون المقابل. ويتم منع ذلك مع الاحتفاظ بالنشاط عن طريق المثيلة لإعطاء سلاسل كربينول C-15 الثالث.

يتم إدخال هذه الخاصية الجزيئية بسهولة في مرحلة كوري لاكتون (1) عن طريق التفاعل مع كاشف ميثيل غرينيار أو ثلاثي ميثيل الألومينيوم. ويتم تحويل الخليط الناتج من الكربينول الثالث (2) إلى كربوبروست الأوكسيتوسي (3) عن طريق التحولات القياسية، بحيث يكون المنتج النهائي هو نظير C-15.
المراجع
- معرف المصطلحات المرجعية بملف المخدرات الوطني: https://bioportal.bioontology.org/ontologies/NDFRT?p=classes&conceptid=N0000146433 — تاريخ الاطلاع: 13 ديسمبر 2016
- Bai, J; Sun, Q; Zhai, H (2014). "A comparison of oxytocin and carboprost tromethamine in the prevention of postpartum hemorrhage in high-risk patients undergoing cesarean delivery". Journal of Experimental and Therapeutic Medicine. 7 (1): 46–50. doi:10.3892/etm.2013.1379. PMC 3861477. PMID 24348762. الوسيط
|CitationClass=تم تجاهله (مساعدة) - Hemabate [Package Insert]. New York, NY: Pharmacia and Upjohn Company; 2014.
- Yankee, Ernest W.; Axen, Udo; Bundy, Gordon L. (1974). "Total synthesis of 15-methylprostaglandins". Journal of the American Chemical Society. 96 (18): 5865. doi:10.1021/ja00825a027. PMID 4416671. الوسيط
|CitationClass=تم تجاهله (مساعدة) - "NOVEL PROSTAGLANDIN SYNTHESES". Ann. N.Y. Acad. Sci. 180: 76. 1971. doi:10.1111/j.1749-6632.1971.tb53186.x. الوسيط
|CitationClass=تم تجاهله (مساعدة)
روابط خارجية
- Carboprost في المَكتبة الوَطنية الأمريكية للطب نظام فهرسة المواضيع الطبية (MeSH).
- Indman P (2004). "Use of carboprost to facilitate hysteroscopic resection of submucous myomas". J Am Assoc Gynecol Laparosc. 11 (1): 68–72. doi:10.1016/S1074-3804(05)60014-X. PMID 15104835. الوسيط
|CitationClass=تم تجاهله (مساعدة) - Vukelić J (2001). "Second trimester pregnancy termination in primigravidas by double application of dinoprostone gel and intramuscular administration of carboprost tromethamine". Med Pregl. 54 (1–2): 11–6. PMID 11436877. الوسيط
|CitationClass=تم تجاهله (مساعدة) - Ippoliti C, Przepiorka D, Mehra R, Neumann J, Wood J, Claxton D, Gajewski J, Khouri I, van Besien K, Andersson B (1995). "Intravesicular carboprost for the treatment of hemorrhagic cystitis after marrow transplantation". Urology. 46 (6): 811–5. doi:10.1016/S0090-4295(99)80349-5. PMID 7502421. الوسيط
|CitationClass=تم تجاهله (مساعدة)
- بوابة طب
- بوابة صيدلة
- بوابة الكيمياء الحيوية
