كوليسيفيلام
كوليسيفيلام هو أحد منحيات حامض الصفراء، حيث يقوم بالارتباط بسائل الصفراء في الجهاز الهضمي لمنع إعادة امتصاصه.[2][3][4] فهو راتنج تبادل أيوني قوي، مما يعني أنه يمكنه مبادلة أيونات الكلوريد مع أيونات أحماض الصفراء السالبة في القناة الهضمية وتربط بينهم بقوة في تركيبة الراتنج.
| كوليسيفيلام | |
|---|---|
![]() | |
| الاسم النظامي | |
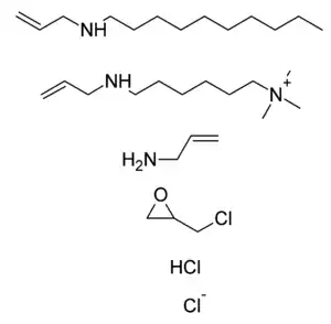
| N-prop-2-enyldecan-1-amine; trimethyl-[6-(prop-2-enylamino)hexyl]azanium; prop-2-en-1-amine; 2-(chloromethyl)oxirane; hydrogen chloride; chloride | |
| يعالج | عدوى الكلوستريديوم ديفيسيل ، وفرط ثلاثي غليسيريد الدم ، ومرض القلب التاجي ، وفرط شحميات الدم العائلي ، وتصلب شرياني ، وعسر شحميات الدم ، وفرط كوليسترول الدم العائلي ، وسكري النوع الثاني [1] |
| اعتبارات علاجية | |
| اسم تجاري | ويلكول (Welchol) |
| ASHPDrugs.com | أفرودة |
| مدلاين بلس | a699050 |
| فئة السلامة أثناء الحمل | B |
| طرق إعطاء الدواء | عن طريق الفم |
| بيانات دوائية | |
| توافر حيوي | لا يوجد |
| ربط بروتيني | لا يوجد |
| استقلاب (أيض) الدواء | لا يوجد لأنه لا يمتص |
| إخراج (فسلجة) | مع الخروج |
| معرّفات | |
| CAS | 182815-44-7 |
| ك ع ت | C10C10AC04 AC04 |
| بوب كيم | CID 160051 |
| درغ بنك | DB00930 |
| كيم سبايدر | 140701 |
| المكون الفريد | P4SG24WI5Q |
| كيوتو | D03582 |
| ChEMBL | CHEMBL1201677 |
| بيانات كيميائية | |
| الصيغة الكيميائية | C31H67Cl3N4O |
كما يعتبر كوليسيفيلام راتنج تبادل أيوني من النوع القاعدي.
كوليسيفيلام يقوم بإزالة أحماض الصفراء من الجسم عن طريق تشكيل المجمعات غير قابلة للذوبان مع الأحماض الصفراوية في الأمعاء، والتي تفرز ثم في البراز. عند إفراز أحماض الصفراء، يتم تحويل الكوليسترول في البلازما إلى حمض الصفراء لاستعادة مستويات حمض الصفراء. هذا التحويل من الكوليسترول إلى أحماض الصفراء يخفض تركيز الكوليسترول في البلازما.
تاريخه
تم إنتاجه أول مرة من قبل شركة جينزيم (Genzyme)، إحدى شركات سانوفي (Sanofi) حاليا واسمه التجاري (كوليستاجيل - Cholestagel)، وتم تسويقه في الولايات المتحدة من قبل شركة دايتشي سانكيو (Daiichi Sankyo) اليابانية تحت اسم (ويلكول - WelChol).
متوفر على أقراص (625 ملغ).
التركيب
مكونات البوليمر المكون لكوليسيفيلام هي كما موضحة في الصورة:

- ن-بروب-2-إنيلديكان-1-أمين (N-prop-2-enyldecan-1-amine)
- ثلاثي مثيل-[6-(بروب-2-إنيلامينو)هيكسيل]أزانيوم (trimethyl-[6-(prop-2-enylamino)hexyl]azanium)
- بروب-2-ين-1-أمين (prop-2-en-1-amine)
- 2-(كلورومثيل)أوكسيران (2-(chloromethyl)oxirane)
- حمض الهيدروكلوريك hydrogen chloride
- أيون كلوريد chloride
الاستخدامات العلاجية
تستخدم منحيات حامض الصفراء مثل كوليستيبول لعلاج ارتفاع الكولسترول.
الجرعة
- وحده: يؤخذ بجرعة 3,75 غم مرة واحدة أو مقسمة على جرعتين. الجرعة القصوى هي 4,375 غم يوميا.
- مع ادوية أخرى: مثل إما أحد الستاتينات أو إزيتمايب أو كلاهما، فيؤخذ بجرعة 2,5 إلى 3,75 غم يوميا جرعة واحدة أو مقسمة على جرعتين.
الأعراض الجانبية
- زيادة في إنتاج اللايبوبروتين VLDL والجليسيريد الثلاثي.
- أعراض اضطرابات في الجهاز الهضمي.
- سوء امتصاص لعدد من الفيتامينات خصوصا الدهنية منها مثل فيتامينات (A، D، E، K).
- صداع.
- زيادة في تركيز الإنزيم ترانسأمينيز.
مراجع
- معرف المصطلحات المرجعية بملف المخدرات الوطني: https://bioportal.bioontology.org/ontologies/NDFRT?p=classes&conceptid=N0000148671 — تاريخ الاطلاع: 13 ديسمبر 2016
- Wedlake, L; Thomas, K; Lalji, A; Anagnostopoulos, C; Andreyev, HJ (2009). "Effectiveness and tolerability of colesevelam hydrochloride for bile-acid malabsorption in patients with cancer: a retrospective chart review and patient questionnaire". Clinical therapeutics. 31 (11): 2549–58. doi:10.1016/j.clinthera.2009.11.027. PMID 20109999. الوسيط
|CitationClass=تم تجاهله (مساعدة) - Puleston, J; Morgan, H; Andreyev, J (2005). "New treatment for bile salt malabsorption". Gut. 54 (3): 441–442. doi:10.1136/gut.2004.054486. PMC 1774391. PMID 15711000. الوسيط
|CitationClass=تم تجاهله (مساعدة) - Welchol نسخة محفوظة 16 يناير 2018 على موقع واي باك مشين.
- بوابة صيدلة
- بوابة طب
