كينولين
كينولين هو مركب عضوي عطري حلقي غير متجانس صيغته الكيميائية C9H7N. هو سائل رطب عديم اللون له رائحة قوية. العينات المعتقة، وخاصة إذا تعرضت للضوء، تصبح صفراء ثم تتحول للون البني.
| كينولين[1] | |
|---|---|
![]() كينولين | |
![]() Quinoline molecule |
![]() Quinoline molecule |
| الاسم النظامي (IUPAC) | |
quinoline | |
| تسمية الاتحاد الدولي للكيمياء | |
| |
| المعرفات | |
| رقم CAS | 91-22-5 |
| بوب كيم (PubChem) | 7047 |
مواصفات الإدخال النصي المبسط للجزيئات
| |
| |
| الخواص | |
| الصيغة الجزيئية | C9H7N |
| الكتلة المولية | 129.16 g/mol |
| المظهر | yellowish oily liquid |
| الكثافة | 1.093 g/mL |
| نقطة الانصهار | -15 °س، 258 °ك، 5 °ف |
| نقطة الغليان | 237 °س، 510 °ك، 459 °ف |
| الذوبانية في الماء | Slightly soluble |
| الذوبانية | Soluble in alcohol, ether, and carbon disulfide |
| حموضة (pKa) | 4.85[2] |
| كيمياء حرارية | |
| الحرارة القياسية للتكوين ΔfH |
174.9 kJ mol−1 |
| المخاطر | |
| توصيف المخاطر | |
| تحذيرات وقائية | |
| NFPA 704 |
1
2
0
|
| LD50 | 331 mg/kg |
| في حال عدم ورود غير ذلك فإن البيانات الواردة أعلاه معطاة بالحالة القياسية (عند 25 °س و 100 كيلوباسكال) | |
الكينولين قليل الذوبان في الماء البارد لكنه يذوب بسرعة في الماء الساخن ومعظم المحاليل العضوية. مادة الكينولين في حد ذاتها لها استعمالات قليلة، لكن تدخل الكثير من مشتقاته في التطبيقات المتنوعة. من أبرز الأمثلة الكينين، شبه قلوي يوجد في النباتات. وتلعب 4-Hydroxy-2-alkylquinolines (HAQs) دوراً في مقاومة المضادات الحيوية.[3]
الخواص الفيزيائية و الكيميائية للكينولين
الكينولين سائل لا لون له. له رائحة مميزة وغير منفرة . يتطاير مع البخار . شحيح الذوبان في الماء ويذوب في أغلب المذيبات العضوية . qويكون الكينولين أملاحا متبلورة مثل الهدروكلوريد الكبريتات , وهي تذوب في الماء .أما ملح ثاني الكرومات الناتج من إضافة ثاني كرومات البوتاسيوم على هدروكلوريد الكينولين , فهي شحيحة الذوبان في الماء وتنفصل على هيئة بلورات صفراء لامعة
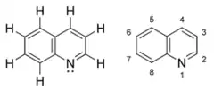
كينولين وهي نواة بنزن + بيريدين (ملتحمتين) وتميز وفقاً لطريقة ارتباطهما: -إما أن تكون N مجاورة مباشرة للبنزن عندها يكون رقمها 1والمركب هو Quinoline
-أو أن يكون بين الـ N والبنزن ذرة كربون ويصبح هنا رقم N هو 2والمركب هو الـ Isoquinoline.(أي الترقيم لم يتغير إما N1 أو N2)
التواجد والعزل
تم استخراج الكينولين أولا من قطران الفحم في عام 1834 من قبل Friedlieb فرديناند رونج.[4] Coal tar remains the principal source of commercial quinoline.[5]
التحضير
الكينولين غالبا ما يخليق من أنيلين بسيط باستخدام عدد من ردود الفعل اسمه. لا يحضر بدمج بنزن مع البيريدين وإنما بعملية الحلقنة Cyclization من الأنيلين مع مركب كيتوني يحتوي على مجموعة ميتلينية
التفاعلات الكيميائية
- ويتأكسد الكينولين إلى حمض كينولنيك وهو حمض بيريدين3,2- ثنائي الكربوكسيل , ولا تتأكسد الحلقة المحتوية على النتروجين لأنها أقل نشاطا .
- وعند اختزال الكينولين بالقصدير وحمض الهدروكلوريك يضاف الهدروجين إلى حلقة البيريدين ويتكون 4,3,2,1 , -رباعي هدروكينولين.
- وعند اختزال الكينولين بالهدروجين في وجود حافز مثل النيكل يتحول إلى ديكاهدرو كينولين .
- ويتفاعل الكينولين مع الكواشف الإلكتروفيلية في الموضع رقم 8 ,
- اما مع الكواشف النيوكليوفيلية فيحدث الاستبدال في موضعي 4,2 ,
- يتفاعل مثلا مع أيون النترونيوم معطيا 8- نتروكينولين
- ويتفاعل مع أميد الصودا في موضعي 4,2 , مكونا 2- أمينوكينولين و4- أمينوكينولين .
- تفاعل التبادل الإلكتروفيلي يفضل البنزن (أي يحدث على حلقة البنزن)، في حين يحدث التفاعل النكليوفيلي على حلقة البيريدين.
- وعند إجراء النيترة بحمض النتريك والكبريتيك يتكون أيضا 5- نتروكينولين .
- ويتفاعل الكينولين مع البروم مكونا 5- و 8- بروموكينولين ولكن عن إجراء البرومة في الطور البخاري يتكون 3- بروموكينولين وعند 500 ْس يتكون 2- بروموكينولين .
- ويتفاعل الكينولين مع حمض الكبريتيك عند 200 ْس ويتكون حمض 8- كينولين سلفونيك مع قدر صغير من أيسومر 5- كينولين سلفونيك .
التبادل الالكتروفيلي
يحدث على حلقة البنزن في الموقعين 5أو8 لينتج معنا مزيج من كليهما تختلف نسبته من تفاعل لأخر تعطي نترجة الكينولين مزيج من منتجين هما 5نتروكينولين (90%) و8 نتروكينولين (10%) بينما لاحظوا البرومة.
التطبيقات
المراجع
- "QUINOLINE (BENZOPYRIDINE)". Chemicalland21.com. مؤرشف من الأصل في 30 سبتمبر 2018. اطلع عليه بتاريخ 14 يونيو 2012. الوسيط
|CitationClass=تم تجاهله (مساعدة) - Brown, H.C., et al., in Baude, E.A. and Nachod, F.C., Determination of Organic Structures by Physical Methods, Academic Press, New York, 1955.
- NCBI - WWW Error Blocked Diagnostic نسخة محفوظة 09 يوليو 2017 على موقع واي باك مشين.
- "Quinoline". Encyclopædia Britannica. 1911. مؤرشف من الأصل في 30 مايو 2013. الوسيط
|CitationClass=تم تجاهله (مساعدة) - Gerd Collin; Hartmut Höke (2005), "Quinoline and Isoquinoline", موسوعة أولمان للكيمياء الصناعية, فاينهايم: وايلي-في سي إتش, doi:10.1002/14356007.a22_465 الوسيط
|CitationClass=تم تجاهله (مساعدة); الوسيط|separator=تم تجاهله (مساعدة)CS1 maint: ref=harv (link) - Quinoline: A versatile heterocyclic نسخة محفوظة 10 سبتمبر 2012 على موقع واي باك مشين.
وصلات خارجية
- بوابة طب
- بوابة صيدلة
- بوابة الكيمياء




