لكتول
اللكتول (بالإنجليزية: Lactole) هي حسب الاتحاد الدولي للكيمياء البحتة والتطبيقية مركبات حلقية من أشباه الأسيتال، وتدرج أيضًا الكيتالات النصفية من أشباه الأسيتالات.[1] اللكتولات بالتالي عبارة عن جزيئات داخلية ناتجة عن تفاعلات الإضافة لمجموعة الهيدروكسيل إلى مجوعة ألدهيد أو كيتون.
| لكتول |
![]() |
| التركيب العام للكتولات: على اليسار، شكل شبه اسيتال على اليمين كيتال نصفي. شبه الأسيتال الحلقي باللون الأزرق . |
تعبر اللكتولات مهمة في الكربوهيدرات. على سبيل المثال في السكريات الأحادية مثل السكريات الألدهيدية ووالسكريات الكيتونية. وعلى حسب حجم الحلقة يتشكل فورانوز أو بيرونوز (حلقة سداسية).[2]
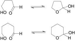
التوازن بين السلسلة المفتوحة والسلسلة الحلقية

في المحلول المائي، تكون السكريات الأحادية في توازن ما بين السلاسل المفتوحة وشبه الأسيتالات، حيث أن الشكل الحلقي هو تقريبا الأكثر استقرارا. على سبيل المثال مماثل الفركتوز 4-هيدرواكسوبيتانال يكون بنسبة حوالي 11.4 % على هيئة سلسلة مفتوحة و 88.6 % على شكل فوراوز. في حالة الجلوكوز يقع التوازن بنسبة 99,9974 % إلى جانب البيرونوز، في حين أن المماثل 5-هيدرواكسوبينتانال يقع بنسبة 6.1 % كسلسلة مفتوحة وبنسبة 93,9 % كشبه أسيتال.[2]
المراجع
- الاتحاد الدولي للكيمياء البحتة والتطبيقية. "{{{title}}}". Compendium of Chemical Terminology Internet edition.
- H. D. Belitz, W. Grosch, P. Schieberle: كتاب الكيمياء الغذائية, 2001, سبرنجر, ISBN 3540410961.
- بوابة الكيمياء
