مجموعة كربونيل
الكربونيل في الكيمياء العضوية هي مجموعة وظيفية (زمرة فعالة) تتألف من ذرة أكسجين مرتبطة بذرة كربون برابطة مضاعفة: R2C=O.[1][2][3]

مجموعة الكربونيل
يمكن أن يشير الكربونيل أيضاً إلى أحادي أكسيد الكربون كربيطة في المعقدات العضوية واللاعضوية، مثل كربونيل النيكل، ولكن يكون الكربون مرتبطاً برابطة ثلاثية مع الأكسجين في هذه الحالة : C≡O.
تعود قطبية الكربونيل لاختلاف السالبية الكهربائية بين ذرتي الكربون والاكسجين.
مركبات الكربونيل
تميز مجموعة الكربونيل الفئة التالية من المركبات:
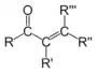
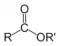
| المركب | ألدهيد | كيتون | حمض كربوكسيلي | إستر | أميد | إينون | هاليد الأسيل | أنهيدريد حمض |
| البنية | ![]() | ![]() | ![]() | ![]() | ![]() | ![]() | ||
| الصيغة العامة | RCHO | RCOR' | RCOOH | RCOOR' | RCONR'R'' | RC(O)C(R')CR''R''' | RCOX | (RCO)2O |
مواضيع ذات صلة
مراجع
- Nicolaou, Kyriacos Costa; E. J. Sorensen (1996). Classics in Total Synthesis: Targets, Strategies, Methods. Wiley-VCH. صفحات 230–232. ISBN 3-527-29231-4. الوسيط
|CitationClass=تم تجاهله (مساعدة) - "Archived copy" (PDF). مؤرشف من الأصل (PDF) في 24 أغسطس 2015. اطلع عليه بتاريخ 11 يوليو 2015. الوسيط
|CitationClass=تم تجاهله (مساعدة)صيانة CS1: الأرشيف كعنوان (link) - "an introduction to aldehydes and ketones". www.chemguide.co.uk. مؤرشف من الأصل في 28 ديسمبر 2017. الوسيط
|CitationClass=تم تجاهله (مساعدة)
- بوابة الكيمياء
في كومنز صور وملفات عن: مجموعة كربونيل
This article is issued from Wikipedia. The text is licensed under Creative Commons - Attribution - Sharealike. Additional terms may apply for the media files.





