ناشر العادم
ناشر العادم (بالإنجليزية: Exhaust diffuser) عبارة عن قطاع مخروطي الشكل متباعد يستخدم في محركات الطائرات عند مخرج التربينة لتحويل الطاقة الحركية المتبقية في غازات العادم إلي ضغط ساكن (static pressure) ويجب أن يكون الضغط عند مخرج الناشر أكبر من ضغط الهواء في الوسط المحيط حتي لا يحدث سريان عكسي لغازات العادم فتؤدي لحدوث أضرار بالتربينة.
قياس أداء الناشر
للتعبير عن أداء الناشر يستخدم معامل يُسمي بمعامل إسترجاع الضغط الساكن (Static pressure recovery) ويرمز له بالرمز CP
وهو عباره عن النسبة بين الارتفاع الحقيقي في الضغط الساكن نتيجة استخدام الناشر إلي أقصي قيمة ممكنة يمكن أن يعطيها الناشر وهي طاقة الحركة عند مدخل الناشر حيث تعتبر أقصي قيمة ممكنة يمكن للناشر أن يحولها لضغط ساكن.
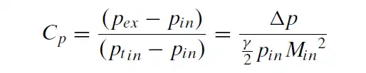
يمكن التعبير عن معامل إسترجاع الضغط الساكن بالمعادلة التالية:

حيث:
- Pex:الضغط عند مخرج الناشر
- Pin:الضغط عند مدخل الناشر
- Ptin:الضغط الكلي عند مدخل الناشر ويساوي الضغط الساكن + الضغط الديناميكي.
انظر أيضًا
مراجع
- Principles of Turbomachinery in Air-Breathing Engines
- Turbomachinery Flow Physics and Dynamic Performance
- بوابة هندسة ميكانيكية
This article is issued from Wikipedia. The text is licensed under Creative Commons - Attribution - Sharealike. Additional terms may apply for the media files.