هوموسيستين
L-هوموسيستين أو هوموسيستين [2] (Hcy) هو أحد ألفا الأحماض الأمينية التي تتواجد في جسم الإنسان ولكنه ليس من منشأت البروتينات. ينتج في عملية الأيض ناتج وسطي في تفاعل نقل ذرة كربون واحدة، وينتج من تفاعل نزع الميثيل من L-ميثيونين كمانح للميثيل. زيادة مستوى الهوموسيستين في الدم يمكن أن يتلف الأوعية الدموية . كما يرتبط ارتباطا وثيقا ب تصلب الشرايين وما لها من عواقب أمراض القلب (الشريان التاجي) والدورة الدموية في الدماغ ، و الخرف في الشيخوخة، والاكتئاب . القيم المخبرية العادية في اختبار الدم تترواح بين 5 و 10 مكرومول·ليتر-1. تنظيم مستويات الهوموسيتين في الدم يتطلب إمدادات كافية من البيتين و فيتامينات ب12, ب6 و حمض الفوليك (الذي هو فيتامين ب9) .[3][4] العلاج الوقائي ما زال مثيرا للجدل.
| البنية | |||||||
|---|---|---|---|---|---|---|---|
![]() | |||||||
| L-Homocystein | |||||||
| معلومات عامة | |||||||
| الاسم | ال-هيموسيستين | ||||||
| اسماء اخرى |
| ||||||
| الصيغة الكيميائية الكلية | C4H9NO2S | ||||||
| وصف مختصر |
كريستال عديم اللون[1] | ||||||
| ارقام تعريفية | |||||||
| |||||||
| خواص | |||||||
| الوزن الكتلي | 135,18 g·mol−1 | ||||||
| حالة المادة |
fest | ||||||
| درجة الانصهار | |||||||
عند ارتباط جزيئان من من الهيموسيستين يمكن أن يتكون Homocystine عن طريق رابطة كبريتية ثنائية . عند تكون مستويات مرتفعة من الحمض الاميني في الدم يتم التخلص منه البول (بيلة الهوموسيتين).
التاريخ
الهيموسيستين تم اكتشافه في عام 1932 من قبل فينسنت دو فينيو عندما كان يبحث في الروابط المحتوية على الكبريت . ولكن في عام 1962 عرف كارسون و نيل العلاقة بين الهيموسيستين و بعض الأمراض. ووجدوا زيادة كبيرة في مستويات الحمض الاميني في البول عند مجموعة من الأطفال ذوي الإعاقات العقلية، وافترضا انه بسبب خلل إنزيمي – بيلة الهوموسيستين الكلاسيكية، تنجم عن خلل في Cystathionine-β-ترانسفيراز.[5][6][7]
الخواص
الخواص الكيميائية
الهموسيستين يتواجد أساسا على يهيئة" ملح داخلي" أو ايون مزدوج , بسبب انتقال البروتون من مجموعة الكربوكسي إلى زوج من الالكترونات من ذرة النيتروجين من المجموعة الأمينية .

في المجال الكهربائي، لا ينتقل الايون المزدوج إلى اي قطب، لأنه ككل غير مشحون. من خلال مجموعة ال CH2 التي تميزه عن السيستين يمكن للهيموسيستين ان يكون حلقة خماسية غير متجانسة ، وهو ما يسمى ثيولاكتون.[8] هذا التشكل الحلقي كفيل بمنع تشكل روابط ببتيدية مستقرة.بذلك فإن البروتينات المحتويه على الهيموسيستين تميل إلى الانقسام.
الأهمية في الكيمياء الحيوية
من L-هيموسيستين و ميثيل رباعي حمض الفولات، يمكن بواسطة انزيم الميثيونين سانثاز، انتاج الحمض الأميني L-ميثيونين تحت تفاعل اعادة الميثيل . الميثيونين سينسيز يتطلب فيتامين ب12 كعامل مرافق. يمكن ان ينتج الميثيونين من الهيموسيستين في الكبد و الكلى بواسطة انزيم البيتين-هيموسيستين-ميثول تراسفيراز . العامل المرافق للانزيم في هذا التفاعل هو البيتين. هدم الهيموسيستين يتم عبر Transsulfuration، أحد الخطوات التي تعتمد على فيتامين ب6.
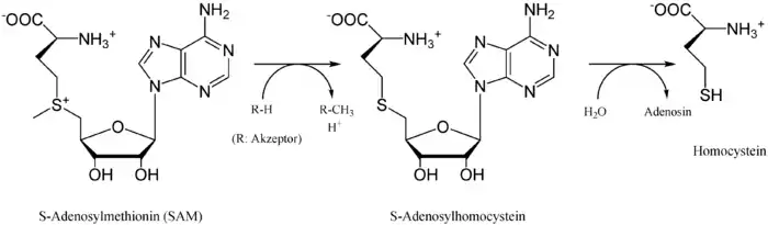
يقوم L-ميثيونين من جهة بإنشاء البروتينات و من ناحية أخرى، في تكوين (S-adenosylmethionin (SAM كيميائيا. SAM هو أهم المانحات لمجموعة الميثيل في عملية الأيض الخلوية. عند منحة لمجموعة الميثيل ينتج
(S-Adenosyhomocystein (SAH ، الذي يتحلل إلى أدينوسين و L-هيموسيستين .

SAH يثبط عمليات الميثلة ، هدم المركب إلى الهيموسيستين مهم من اجل ابقاء عمليات الميثلة . إذا حصل خلل في هدم الهيموسيستين سيحصل خلل في عمليات الميثلة في الخلية.
بالإضافة لأهميته في الكيمياء الحيوية، يعتقد أن الهوموسيستين كان له دور كبير في نشأة الحياة على الأرض.[9][10]
اهميته الصحية
الهيموسيستين يتواجد في الحالات الطبيعية في جسم الإنسان. ومع ذلك، يمكن أن يؤدي تواجده بكميات مرتفعة في الدم إلى هيبر هيموسيتاينإيمي. حتى الكميات المرتفعة قليلا يمكن ان تؤدي إلى رفع خطر الإصابة بأمراض القلب والأوعية الدموية . انخفاض في مستويات الحمض الاميني، يمكن أن يكون لها تأثير وقائي، ومع ذلك، لا يزال لا توجد دراسات تثبت هذا.[11] في حالة نقص فيتامين B12 يرتفع معدل الهيموسيستين، و يمكن استخدام الهيموسيستين كمقياس لعلاج نقص فيتامين B12 (في حالة العلاج الفعال يجب أن يعود المستوى المرتفع للهيموسيستين إلى المعدل الطبيعي مرة اخرى أخرى).[12][13]
افرازات المعدة لحمض الهيدروكلوريك تساعد امتصاص فيتامين بي 12 في الدم واستفادة الجسم منه . أثناء الشيخوخة تنقص افرازات المعدة وبالتالي يقل امتصاص فيتامين بي12 في الدم . فيتامين بي 12 لا يمكن لجسم الإنسان من صنعه. ولا يوجد إلا في اللحوم ولحوم الطيور ، ولكن الجسم يمكنه تخزينه مدة قد تصل إلى 3 سنوات . فيتامين بي 12 لا يوجد في الخضروات . من يداوم على تناول حمية غذائية من الخضروات فقط (الخضريون) من دون تناول لحوم ، عليه شراء كبسولات أو أقراص فيتامين بي12 ليحصل جسمه على هذا الفيتامين الهام للصحة.
المراجع
- Eintrag zu Homocystein. نسخة محفوظة 01 يوليو 2016 على موقع واي باك مشين.
- "Al-Qamoos القاموس | English Arabic dictionary / قاموس إنجليزي عربي". www.alqamoos.org. مؤرشف من الأصل في 6 يناير 2019. اطلع عليه بتاريخ 05 يناير 2019. الوسيط
|CitationClass=تم تجاهله (مساعدة) - Deutsches Institut für Ernährungsforschung Potsdam-Rehbrücke: Kombination von niedrigem Vitamin B12- und niedrigem Folat-Spiegel erhöht das Schlaganfallrisiko. نسخة محفوظة 5 أبريل 2020 على موقع واي باك مشين.
- كورنيليا Weikert & a.: فيتامين ب البلازما مستويات خطر السكتة الدماغية و هجوم عابر الدماغية في ألمانيا الفوج.
- نسخة محفوظة 04 مارس 2016 على موقع واي باك مشين.
- فينسنت دو Vigneaud: درب من السلفا البحث: من الأنسولين إلى الأوكسيتوسين.
- Metabolic abnormalities detected in a survey of mentally backward individuals in Northern Ireland. 37. 1962-10. صفحات 505–513. doi:10.1136/adc.37.195.505. PMID 14018926. الوسيط
|CitationClass=تم تجاهله (مساعدة); تحقق من التاريخ في:|تاريخ=(مساعدة) - H. S. Baernstein: في: مجلة الكيمياء البيولوجية. 106, 1934, p. 451.
- Vallee, Yannick; Shalayel, Ibrahim; Ly, Kieu-Dung; Rao, K. V. Raghavendra; De Paëpe, Gael; Märker, Katharina; Milet, Anne (2017). "At the very beginning of life on Earth: the thiol-rich peptide (TRP) world hypothesis". The International Journal of Developmental Biology (باللغة الإنجليزية). 61 (8–9): 471–478. doi:10.1387/ijdb.170028yv. ISSN 0214-6282. مؤرشف من الأصل في 28 فبراير 2020. الوسيط
|CitationClass=تم تجاهله (مساعدة) - Shalayel, Ibrahim; Vallée, Yannick (2019-05-16). "Chemistry of Homocysteine Thiolactone in A Prebiotic Perspective". Life (باللغة الإنجليزية). 9 (2): 40. doi:10.3390/life9020040. ISSN 2075-1729. PMID 31100840. مؤرشف من الأصل في 08 فبراير 2020. الوسيط
|CitationClass=تم تجاهله (مساعدة) - نسخة محفوظة 02 يوليو 2017 على موقع واي باك مشين.
- S. راجان, J. I. والاس, S. A. بيريسفورد, K. I. Brodkin, R. A. Allen, S. P. استقرارا: الكشف عن كوبالامين نقص في طب العيادات الخارجية: انتشار ونفوذ الاصطناعية كوبالامين المدخول.
- [online Ursachen und frühzeitige Diagnostik von Vitamin-B12-Mangel] تحقق من قيمة
|مسار=(مساعدة). 105. 2008. صفحات 680–685. doi:10.3238/arztebl.2008.0680. الوسيط|CitationClass=تم تجاهله (مساعدة)
- بوابة الكيمياء
- بوابة الكيمياء الحيوية
- بوابة طب
