إندول
إندول هو مركب عضوي له الصيغة C8H7N ، وهو من المركبات العطرية الحلقية غير المتجانسة، له بنية ثنائية الحلقة تتألف من حلقة سداسية من البنزين مدمجة مع حلقة خماسية حاوية على ذرة نيتروجين (حلقة البيرول). تدخل حلقة الإندول في بنية العديد من المنتجات الطبيعية.
| إندول | |
|---|---|
![]() Skeletal formula with numbering scheme | |
![]() إندول |
![]() إندول |
| الاسم النظامي (IUPAC) | |
Indole | |
| المعرفات | |
| رقم CAS | 120-72-9 |
| بوب كيم (PubChem) | 798 |
مواصفات الإدخال النصي المبسط للجزيئات
| |
| الخواص | |
| الصيغة الجزيئية | C8H7N |
| الكتلة المولية | 117.15 غ/مول |
| المظهر | بلورات بيضاء |
| الكثافة | 1.17 غ/سم3 |
| نقطة الانصهار | 52 °س |
| نقطة الغليان | 254 °س |
| الذوبانية في الماء | ضعيف الانحلال |
| حموضة (pKa) | 17 ، و16.2 |
| في حال عدم ورود غير ذلك فإن البيانات الواردة أعلاه معطاة بالحالة القياسية (عند 25 °س و 100 كيلوباسكال) | |
الخصائص
- يوجد مركب الإندول على شكل مسحوق صلب عديم اللون ولماع.
- مركب الإندول له قاعدية ضعيفة، لكنه لا يشكل الكثير من الأملاح مع الأحماض.
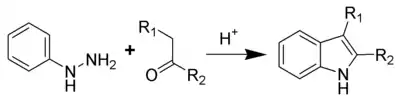
الاستحصال والتحضير
يعد الإندول مكوناً أساسياً للقطران، وحيث أن القطفة الناتجة عن تقطير الفحم بين 220-260 °س تعد المصدر الأساسي للحصول على هذا المركب صناعياً. أما مخبرياً تعد طريقة اصطناع فيشر للإندول الأشهر من بين العديد من طرق الاصطناع.

التفاعلات الكيميائية
- الاستبدال المحب للإلكترونات (استبدال إلكتروفيلي)
إن أكثر المواقع نشاطاً كيميائياً في بنية الإندول هو الكربون في الموقع 3، C-3، والذي نشاطه أكبر ب 1013 من البنزين. على سبيل المثال فإن إضافة الفورميل بتفاعل فيلسماير-هاك لمركب الإندول [3] ستجري عند درجة حرارة الغرفة حصرياً على الكربون-3.

بما أن الحلقة البيرولية في الإندول هي الجزء الأكثر نشاطاً لذا فإن الاستبدال المحب للنوى (الاستبدال النكليوفيلي) للحلقة البنزيلية سيحدث فقط عندما تحدث عملية استبدال في المواقع N-1 و C-2 و C-3.
- أكسدة الإندول

المراجع
- معرف بوب كيم: https://pubchem.ncbi.nlm.nih.gov/compound/798 — تاريخ الاطلاع: 19 نوفمبر 2016 — العنوان : indole — الرخصة: محتوى حر
- معرف بوب كيم: https://pubchem.ncbi.nlm.nih.gov/compound/798
- James, P. N.; Snyder, H. R. (1959). "Indole-3-aldehyde". Organic Syntheses. 39: 30. مؤرشف من الأصل في 02 أكتوبر 2012. اطلع عليه بتاريخ أغسطس 2020. الوسيط
|CitationClass=تم تجاهله (مساعدة); تحقق من التاريخ في:|تاريخ الوصول=(مساعدة)صيانة CS1: أسماء متعددة: قائمة المؤلفون (link)
- بوابة الكيمياء
صور وملفات صوتية من كومنز


