حمض
الحمض هو أي مركب كيميائي يكون عند انحلاله في الماء قادراً على تحرير أيونات الهيدروجين (البروتونات)، والتي يرمز لها بذرات هيدروجين ذات شحنة موجبة واحدة أو +1.
| أحماض وقواعد |
|---|
![]() |
|
| أنماط الحموض |
|
| أنماط القواعد |
|
و هناك كثير من الأحماض توجد بصورة طبيعية، و بعضها ضروري للحياة. فحمض الهيدروكلوريك (HCl) على سبيل المثال يتم إنتاجه في المعدة و يعين على الهضم. و تُستخدم الأحماض كذلك و بصورةٍ واسعةٍ في الصناعة، وهي جزء من عددٍ ضخم من الأطعمة والمشروبات. وعلى كل حال، فإنّ كثيراً من الأحماض سامّة، و بإمكان الأحماض القويّة أن تسبب حروقاً حادة.
التعريف
عرفت الأحماض في البداية بحسب خواصها العامة. فقد كانت مواد ذات طعم لاذع، تحل العديد من المعادن، وتتفاعل مع القلويات (أو القواعد) لتكون الأملاح. لقد اعتقد لبعض الوقت، وبعد أعمال لافوازييه، أن المكون العام في جميع الأحماض هو عنصر الأكسيجين، ولكن أصبح من الواضح تدريجياً أنه إذا كان هناك عنصر أساسي، فهو الهيدروجين وليس الأوكسجين. إن تعريف الحمض حقيقة صاغه ليبيغ في عام 1840 م، فقال: «الحمض هو المادة الحاوية على الهيدروجين والتي من شأنها أن تولد غاز الهيدروجين عند تفاعلها مع المعادن». وقد بقي هذا التعريف مقبولاً نحو 50 عاماً.[1] هذا التعريف يقارب التعريف الحديث لبرونستد ومارتن لوري، اللذان عرفا على وجه منفصل الحمض كمركب يعطي أيون الهيدروجين (H+) لمركب آخر (يسمى قاعدة أو أساس). وكمثال معروف عن الحموض، حمض الخليك (الموجود في الخل) وحمض الكبريتيك (الموجود في بطارية السيارة). تختلف أنظمة حمض/قاعدة عن تفاعلات أكسدة-اختزال حيث لا تتغير حالة الأكسدة.
وتعرف المركبات أو المواد الكيميائية أنها حمضية إذا كان لها صفات الحمض.
مفاهيم
مقالة مفصلة: تفاعل حمض-قلوي

إن الكيميائي السويدي سفانت أرهينيوس هو أول من قرن خاصية الحموضة بالهيدروجين 1884[بحاجة لمصدر]. حمض أرهينيوس هو مادة تزيد من تركيز شاردة الهيدرونيوم H3O+ عندما تنحل في الماء. أتى هذا التعريف من الانحلال المتوازن للماء إلى شوارد الهيدرونيوم والهيدوركسيد (OH-):
في الماء النقي توجد معظم الجزيئات على شكل H2O، ولكن عدداً صغيراً من الجزيئات تنحل على وجه ثابت وتعود فتتحد. فالماء النقى معتدل مقارنة مع الحموضة أو القلوية لأن تركيز شوارد الهيدروكسيد متساوية دائماً مع تركيز شوارد الهيدرونيوم. فالمادة القاعدية في نظر أرهينيوس هي أي جزيء يزيد من تركيز شاردة الهيدروكسيد عند انحلاله في الماء. لاحظ أن الكيميائيين يكتبون غالبا (H+(aq ويشيرون إلى شاردة الهيدروجين عندما يصفون تفاعل حمض-قاعدة لكن نواة الهيدورجين الحرة، البروتون، غير موجودة وحيدة في الماء، فهي توجد كشاردة الهيدرونيوم H3O+.
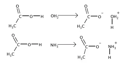
ومع أن مفهوم أرهينيوس كان مفيداً في توصيف العديد من التفاعلات، إلا أنه محدود الرؤية. ففي عام 1923، قام الكيميائيان يوهانس برونشتد وتوماس مارتن لوري بشكل مستقل عن بعضهما بتمييز تفاعلات حمض-قاعدة متضمنة مفهوم انتقال البروتون. وحمض برونستد-لوري (أو ببساطة حمض برونستد) هو صنف يعطي البروتون لأساس برونستد-لوري(قاعدة برونشتد-لوري). إن لنظرية برونستد-لوري مزايا عديدة مقارنة بنظرية أرهينيوس. لنفرض المثال التالي لتفاعلات حمض الخل (CH3COOH)، أحد الحموض العضوية، الذي يعطي الخل طعمه المميز.

تصف كلتا النظريتين ببساطة التفاعل الأول: يتصرف CH3COOH كحمض أرهينيوس لأنه يتصرف كمصدر H3O+ عندما ينحل في الماء، ويتصرف كحمض برونشتد بإعطائه بروتون إلى الماء. في المثال الثاني يتعرض CH3COOH للتحول نفسه، فهو يعطي بروتوناً إلى الأمونيا (NH3)، ولكن لا يمكن وصفه باستخدام تعريف أرهينيوس للحمض لأن التفاعل لا يعطي الهيدرونيوم. يمكن أن تصف نظرية برونشتد-لوري أيضاً المركبات الجزيئية، بينما توجب نظرية أرهينوس على المركب أن يكون أيونياً. يرتبط حمض كلور الماء والأمونياك تحت شروط متعددة ليشكلا النشادر NH4Cl. يتصرف المحلول المائي لحمض كلور الماء كالحمض ذاته، ويكون كشوارد الهيدرونيوم والكلور. التفاعل التالي يوضح محدودية تعريف أرهينيوس
2.) HCl + NH3 → NH4Cl
3.) HCl + NH3 → NH4Clوكما كانت الحالة في تفاعلات حمض الخل، فإن كلا التعريفين صالحان للمثال الأول، حيث يكون الماء هو المذيب وتتشكل شاردة الهيدرونيوم. التفاعلان التاليان لا يشملان تشكل شوارد ولكنهما يبقيان تفاعلين لانتقال البروتون. في التفاعل الثاني يتفاعل حمض كلور الماء مع الأمونياك ليشكلا النشادر الصلب في البنزين كمذيب وفي الثالثة يتفاعل حمض كلور الماء والأمونياك NH3 ليشكلا النشادر الصلب.
اقترح جيلبرت نيوتن لويس مفهوماً ثالثاً يتضمن تفاعلات ذات خصائص حمض-قاعدة والتي لا تتضمن انتقالاً للبروتون. حمض لويس هو صنف يقبل زوجاً من الإلكترونات من صنف آخر لتشكل رابطة تساهمية، وبكلمة أخرى، قابل لزوج إلكتروني.
ومع أنها لم تكن أكثر النظريات عمومية، فإن تعريف برونستد لوري هو أكثر التعاريف استخداماً. يمكن فهم قوة الحمض باستخدام هذا التعريف على أنها استقرار الهيدرونيوم والقاعدة المشتقة المنحلة خلال التفكك. ازدياد أو نقصان استقرار القاعدة المشتقة سيزيد أو ينقص حموضة المركب. يستخدم مفهوم الحموضة هذا في الحموض العضوية مثل الحموض الكربوكسيلية. ففي وصف الجزيء المداري (molecular orbital description)، حيث يتداخل مدار البروتون الفارغ مع زوج منعزل، يرتبط بتعريف لويس.
هنالك أنواع عديدة من الحوامض، منها ما هو طبيعي كالموجود في الليمون مثلاً ومنها ما يصنع في المصانع أو المختبرات كحمض كلور الماء (HCl) أو كحمض الكبريت (H2SO4).
وأما الرقم الهيدروجيني (pH) فهو يتراوح بين 0 و14.
بالنسبة لوسائل قياس الحموضة فهي متعددة، منها ما هو غير دقيق كالمشعرات (عباد الشمس) ويتغير لونها ودرجة اللون فيها حسب نسبة الحموضة الموجودة بالمحلول. حيث يدل اللون الأخضر على قلوية خفيفة واللون الأزرق على قلوية عالية نتيجة لتصاعد تركيز الانيونات OH- وتكون قيمة ال pH أعلى من 7. في حين يدل اللون البرتقالي على حموضة خفيفة واللون الأحمر على حموضة عالية نتيجة تصاعد تركيز الكاتيونات H+ وتكون قيمة pH أدنى من 7. تمتلك بعض مقاييس pH جهاز رصد إلكتروني يقيس نسبة الحموضة مباشرة بعد وضعه في المحلول الكيميائي، وتحتاج هذه المقاييس إلى معايرة باستعمال محلول له قيمة pH معيارية مثل 4 و7 و10. وهذه السوائل المعيارية هي محاليل منظمة يمكن شراؤها أو تصنيعها.
خصائص الأحماض
- ذات طعم حامض.
- تعطي الحموض المركزة أو القوية شعوراً لاذعاً في الغشاء المخاطي.
- تغير ألوان مشعر الباهاء كالآتي: تصبح ورقة عباد الشمس حمراء، والمتيل البرتقالي يصبح أحمر، ويصبح الفينول فتالئين عديم اللون.
- يتفاعل مع المعادن ليعطي أملاح المعادن والهيدروجين.
- يتفاعل مع كربونات المعادن ليعطي الماء وثاني أكسيد الكربون والملح.
- يتفاعل مع القواعد ليعطي ماء وملحاً.
- يتفاعل مع أكاسيد المعادن ليعطي ماء وملحاً.
- ناقل للكهرباء بحسب درجة انحلاله.
- يعطي شوارد الهيدرونيوم في الماء [H3O+].
الأحماض القوية والعديد من الحموض المركزة هي مواد آكلة، وقد تكون خطيرة، وتسبب حروقاً خطيرة حتى ولو كان التماس بسيطاً. تعالج الحروق الناتجة عن الحموض عادة بغسلها بالماء الجاري بغزارة، يتبعها معالجة طبية مباشرة. وفي حالة الحموض المعدنية المركزة جدا كحمض الكبريت أو حمض الآزوت، فيجب أولاً تنظيف الإصابة قبل الغسل بالماء، لأن مزج الحموض بالماء هو تفاعل ناشر للحرارة مما يسبب حرقاً حرارياً أيضاً.
مراجع
- McGraw-Hill Encyclopedia of Science & Technology, 10th Edition, Volume 1 (A-ANO),page.59
- بوابة الكيمياء
