اصطناع تشيشيبابين للبيريدين
اصطناع تشيشيبابين للبيريدين هو تفاعل اصطناع عضوي لمركب البيريدين ينسب إلى اسم مكتشفه الكيميائي أليكسي تشيشيبابين، والذي نشره أوّل مرّة سنة 1924، ولا يزال مستخدماً في الصناعة.[1] يصنّف هذا التفاعل كيميائياً على أنّه تفاعل تكاثف بين الألدهيدات أو الكيتونات أو أيّ مركّب من مركّبات الكربونيل β،α-غير المشبعة أو أيّ مزيج ممّا سبق مع الأمونياك أو الأمينات.[2]
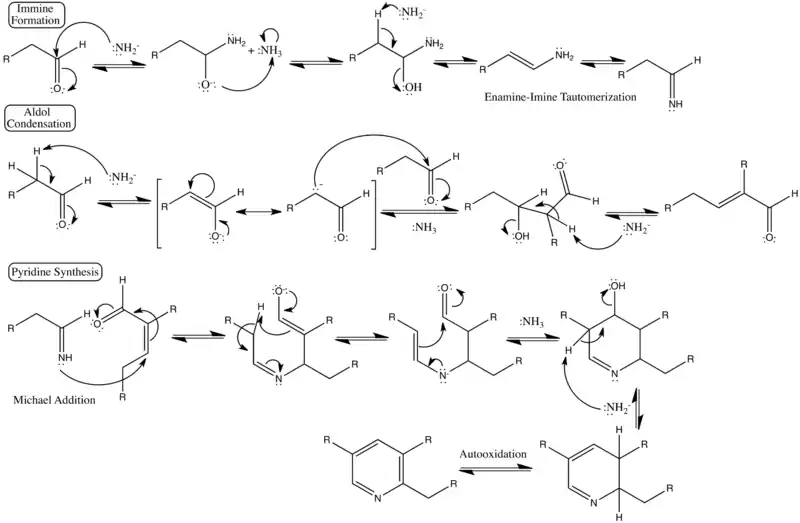
آلية التفاعل
تتضمن آلية التفاعل حدوث تفاعلات تشكل إيمين وحدوث تكاثف ألدولي بالإضافة إلى تفاعل مايكل. يتم التفاعل بشكل مجمل وفق آلية التالية:

اقرأ أيضاً
المراجع
- Chichibabin, A. E. (1924). "Über Kondensation der Aldehyde mit Ammoniak zu Pyridinebasen" [On condensation of aldehydes with ammonia to make pyridines]. Journal für Praktische Chemie. 107: 122. doi:10.1002/prac.19241070110. مؤرشف من الأصل في 20 سبتمبر 2018. الوسيط
|CitationClass=تم تجاهله (مساعدة) - Frank, R. L.; Seven, R. P. (1949). "Pyridines. IV. A Study of the Chichibabin Synthesis". Journal of the American Chemical Society. 71 (8): 2629–2635. doi:10.1021/ja01176a008. الوسيط
|CitationClass=تم تجاهله (مساعدة) - Li, J. J. (2009). "Chichibabin pyridine synthesis". Name Reactions. صفحات 107–9. doi:10.1007/978-3-642-01053-8_51. ISBN 3-540-40203-9. الوسيط
|CitationClass=تم تجاهله (مساعدة) - Weiss, M. (1952). "Acetic Acid—Ammonium Acetate Reactions. An Improved Chichibabin Pyridine Synthesis". Journal of the American Chemical Society. 74 (1): 200–2. doi:10.1021/ja01121a051. الوسيط
|CitationClass=تم تجاهله (مساعدة)
- بوابة الكيمياء
- بوابة كيمياء عضوية
في كومنز صور وملفات عن: اصطناع تشيشيبابين للبيريدين
This article is issued from Wikipedia. The text is licensed under Creative Commons - Attribution - Sharealike. Additional terms may apply for the media files.

