تفاعل تشيشيبابين
تفاعل تشيشيبابين هو تفاعل كيميائي لتحضير مشتقات 2-أمينو البيريدين وذلك من مفاعلة مشتقات البيريدين مع أميد الصوديوم. ينسب التفاعل إلى الكيميائي أليكسي تشيشيبابين الذي طوره سنة 1914.[1]

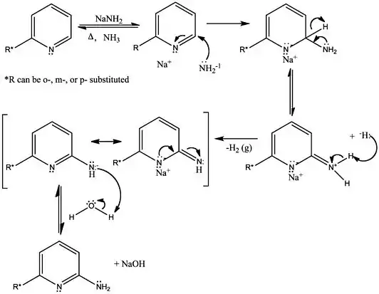
آلية التفاعل
تتم آلية التفاعل وفق ما يلي:

وهي تصنف كيميائياً من تفاعلات الإضافة والحذف، والتي تتم عبر تشكيل معقد مايزنهايمر الوسطي (ناتج إضافة σ). [2] يستخدم تشكل معقد مايزنهايمر ذي اللون الأحمر مؤشراً على سير التفاعل، وذلك بالإضافة إلى انطلاق غاز الهيدروجين. يتوفر أميد الصوديوم من ضمن الكواشف الكيميائية، ولكن ينبغي أخذ الحيطة والحذر عند التعامل به.[3]
اقرأ أيضاً
المراجع
- Chichibabin, A. E.; Zeide, O. A. (1914). "[New Reaction for Compounds Containing the Pyridine Nucleus]". Zhur. Russ. Fiz. Khim. Obshch (J. Russ. Phys. Chem. Soc.). 46: 1216–36. الوسيط
|CitationClass=تم تجاهله (مساعدة) - McGill, C.; Rappa, A. (1988). "Advances in the Chichibabin Reaction". Advances in Heterocyclic Chemistry. 44: 1–79. doi:10.1016/s0065-2725(08)60261-5. ISBN 9780120206445. الوسيط
|CitationClass=تم تجاهله (مساعدة) - Shreve, R. N.; Riechers, E. H.; Rubenkoenig, H.; Goodman, A. H. (1940). "Amination in the Heterocyclic Series by Sodium Amide". Industrial and Engineering Chemistry. 32 (2): 173–8. doi:10.1021/ie50362a008. الوسيط
|CitationClass=تم تجاهله (مساعدة)
- بوابة الكيمياء
- بوابة كيمياء عضوية
تفاعل تشيشيبابين في المشاريع الشقيقة
صور وملفات صوتية من كومنز
This article is issued from Wikipedia. The text is licensed under Creative Commons - Attribution - Sharealike. Additional terms may apply for the media files.