تفاعل زينكه
تفاعل زينكه هو تفاعل عضوي والذي فيه يتحول البيريدين إلى ملح البيريديوم من خلال التفاعل مع 2,4-داي نيترو-كلوروبنزين وأمين أولي، تمت تسمية التفاعل على اسم تيودور زينكه.[1][2][3]

يجب عدم الخلط بين تفاعل زينكه وتفاعل زينكه-زول أو نترات زينكه. وعلاوة على ذلك، فإن تفاعل زينكه ليس له علاقة بالعنصر الكيميائي الزنك.
آلية التفاعل
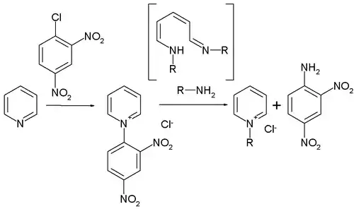
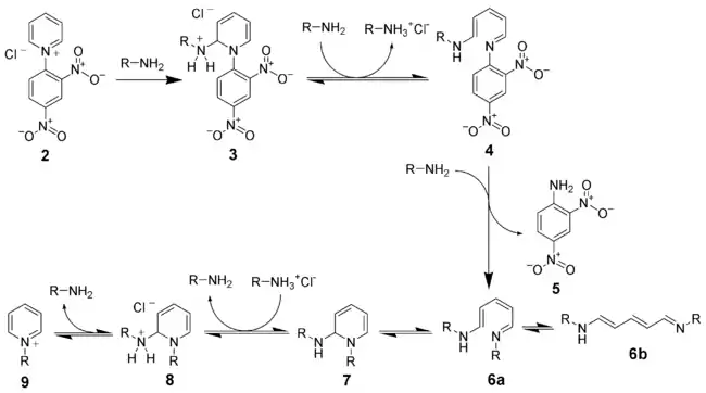
التفاعل الأول هو تشكيل ملح ن-2،4-داي نيترو فينايل-بيريدينيوم (2). هذا الملح هو عادة ما يتم عزله وتنقيته بواسطة التبلور.

عند تسخين الأمين الأولي مع ملح ن-2،4-داي نيترو فينايل-بيريدينيوم (2)، إضافة الأمين يؤدي إلى فتح حلقة البيريديوم. الإضافة الثانية للأمين يؤدي إلى نقل 2,4-داي نيترو أنيلين (5) وتشكيل ملح الملك [4] الملك يمكن أن يتفاعل عن طريق إعادة ترتريب جزيئات الأيون المزدوج المتوسطة لإعطاء حلقة متوسطة (7).[5] هذا تم اعتباره معدل التفاعل.[6][7] بعد نقل البروتون وتفاعل حذف الأمين، يتم تكوين أيون البيريديوم (9) المطلوب.

هذه الآلية يمكن أن يشار إليها باسم آلية ANRORC: إضافة أليف النواة (N), افتتاح الحلقة والمركب الحلقي.
تطبيقات
في تطبيق صناعة المرحلة الصلبة، الأمين يرتبط تساهميا براتنج وانغ.[8]

مثال آخر هو صناعة ملح الإيزوكينولين اليدوي.[9]

ألدهيدات زينكه
مع الأمينات الثانوية و ليس الأمينات الأولية يأخذ تفاعل زينكه شكلا مختلفا ليشكل ما يسمى بألدهيدات زينكه التي يتم فتح حلقة البيريدين مع تحلل مجموعة الإمينيوم لتتحلل إلى ألدهيد:[10]

هذا الاختلاف قد تم تطبيقه في صناعة اندولات الرواية:[11]

مع وساطة بروميد السيانوجين يتم تنشيط البيريدين.
إعادة الاكتشاف في 2007
في عام 2006 ومرة أخرى في عام 2007 تفاعل زينكه تم اكتشافه من قبل فريق بحث من اليابان [12] و مجموعة من الولايات المتحدة الأمريكية.[13] وادعى كلا الفريقين تصنيع العضو 12 الأنولين (هيكل 1) من N-أريل كلوريد البريدينيوم و أمين، الأنيلين في حالة المجموعة اليابانية (مبين أدناه) والأمينات الأليفاتية (مع خصائص مؤثر سطحي) في حالة الأمريكية.
في رسالة إلى أنجيفاندتي كيمي، الكيميائي الألماني مانفريد كريستل [14] أشار ليس فقط إلى أن الكيمياء الجديدة المزعومة هي في الواقع كيمياء زينكه من 100 عام ولكن أيضا إلى أن الهيكل المقترح على ناتج التفاعل لم تكن حلقة العضو 12 بل العضو 6 ملح البيريدينيوم (هيكل 2). في البداية كلا الفريقين اعترفا أنهما تجاهلا الكتابات الموجودة عن زينكه ولكن تمسكا بالهيكل المقترح على أساس نتائج التأين بالإرذاذ الإلكتروني (ESI) التي وفقا لهم أشارت بوضوح إلى ديمر. في رسالته لاحظ كريستل أنه في قياسات الجمعية الكلية للجزيئات ESI هي ظاهرة شائعة. بالإضافة إلى ذلك لاحظ التشابه بين الانصهار و الرنين المغناطيسي الطيفي.
اعتبارا من كانون الأول / ديسمبر 2007 المجموعة اليابانية تراجعت عن ورقتها في الرسائل العضوية بسبب عدم اليقين بشأن ما هي المنتجات التي تشكلت في التفاعل الموصوف والمجموعة الأمريكية أضافت تصحيحا للورقة الخاصة بهم في أنجيفاندتي كيمي مشيرين إلى أنهم تمنوا تغيير الهيكل المقترح.[15] القضية تلقت بعض التغطية الإعلامية:[16][17]
المراجع
- Zincke, Th.; Heuser, G.; Moller, W. (1904). "Ueber Dinitrophenylpyridiniumchlorid und dessen Umwandlungsproducte". Justus Liebigs Annalen der Chemie. 333 (2–3): 296–345. doi:10.1002/jlac.19043330212. الوسيط
|CitationClass=تم تجاهله (مساعدة)صيانة CS1: أسماء متعددة: قائمة المؤلفون (link) - Zincke, Th.; Heuser, G.; Moller, W. (1904). "Ueber Dinitrophenylpyridiniumchlorid und dessen Umwandlungsproducte". Justus Liebigs Annalen der Chemie. 330 (2): 361–374. doi:10.1002/jlac.19043300217. الوسيط
|CitationClass=تم تجاهله (مساعدة)صيانة CS1: أسماء متعددة: قائمة المؤلفون (link) - Zincke, T. H.; Weisspfenning, G. (1913). "Über Dinitrophenylisochinoliniumchlorid und dessen Umwandlungsprodukte". Justus Liebigs Annalen der Chemie. 396 (1): 103–131. doi:10.1002/jlac.19133960107. الوسيط
|CitationClass=تم تجاهله (مساعدة) - König, W. (1904). "Über eine neue, vom Pyridin derivierende Klasse von Farbstoffen". Journal für Praktische Chemie. 69 (1): 105–137. doi:10.1002/prac.19040690107. مؤرشف من الأصل في 04 أبريل 2017. الوسيط
|CitationClass=تم تجاهله (مساعدة) - Kunugi, S.; Okubo, T.; Ise, N. (1976). "A study on the mechanism of the reaction of N-(2,4-dinitrophenyl)-3-carbamoylpyridinium chloride with amines and amino acids with reference to effect of polyelectrolyte addition". Journal of the American Chemical Society. 98 (1): 2282–2287. doi:10.1021/ja00424a047. PMID 1254864. الوسيط
|CitationClass=تم تجاهله (مساعدة) - Marvell, E. N.; Caple, G.; Shahidi, I. J. Am. Chem. نسخة محفوظة 26 مايو 2019 على موقع واي باك مشين.
- Marvell, E. N.; Shahidi, I. J. Am. Chem. نسخة محفوظة 26 مايو 2019 على موقع واي باك مشين.
- "The Solid-Phase Zincke Reaction: Preparation of -Hydroxy Pyridinium Salts in the Search for CFTR Activation" Eda, M.; Kurth, M. J.; Nantz, M. H. J. Org. نسخة محفوظة 13 سبتمبر 2006 على موقع واي باك مشين.
- New Chiral Isoquinolinium Salt Derivatives from Chiral Primary Amines via Zincke Reaction Denis Barbier, Christian Marazano, Bhupesh C. Das, and Pierre Potier J. Org. نسخة محفوظة 13 سبتمبر 2006 على موقع واي باك مشين.
- T. Zincke, W. Wurker, Justus Liebigs Ann.
- Synthesis of Nitrogen Heterocycles by the Ring Opening of Pyridinium Salts Aaron M. Kearney, Christopher D. Vanderwal Angew. نسخة محفوظة 13 سبتمبر 2006 على موقع واي باك مشين.
- One-Pot Synthesis of N-Substituted Diaza[12]annulenes Yamaguchi, I.; Gobara, Y.; Sato, M. Org. نسخة محفوظة 19 أبريل 2019 على موقع واي باك مشين.
- [12]Annulene Gemini Surfactants: Structure and Self-Assembly
Lei Shi, Dan Lundberg, Djamaladdin G. Musaev, Fredric M. Menger Angewandte Chemie International Edition Volume 46, 2007 Issue 31 , Pages 5889 - 5891 doi:10.1002/anie.200702140 "نسخة مؤرشفة". Archived from the original on 2 مايو 2019. اطلع عليه بتاريخ 1 يونيو 2019. الوسيط
|CitationClass=تم تجاهله (مساعدة)صيانة CS1: BOT: original-url status unknown (link) - (بالألمانية) 1,7-Diaza[12]annulene Derivatives? 100-Year-Old Pyridinium Salts! (p 9152-9153)Manfred Christl Published Online: Nov 28 2007 5:47AM doi:10.1002/anie.200704704
- Corrigendum [12]Annulene Gemini Surfactants: Structure and Self-Assembly Lei Shi, Dan Lundberg, Djamaladdin G. Musaev, Fredric M. Menger Angewandte Chemie International Edition Volume 46, 2007, Issue 48, Pages 9152 - 9153 doi:10.1002/anie.200790248 "نسخة مؤرشفة". Archived from the original on 2 مايو 2019. اطلع عليه بتاريخ 1 يونيو 2019. الوسيط
|CitationClass=تم تجاهله (مساعدة)صيانة CS1: BOT: original-url status unknown (link) - (بالألمانية) Ahnungslose Chemiker entdecken Verbindung zum zweiten Mal.
- Where have I seen that before? 103-year-old chemical reaction pops up again.
- بوابة الكيمياء
