تفاعل غيفالد
تفاعل غيفالد هو تفاعل عضوي متعدد المكونات يتضمن حدوث تفاعل تكاثف بين كيتون (أو ألدهيد) مع α-سيانوإستر بوجود عنصر الكبريت في وسط قاعدي للحصول على 2-أمينوثيوفين متعدد الاستبدال.[1][2]

ينسب التفاعل إلى مكتشفه الكيميائي الألماني كارل غيفالد Karl Gewald،[3][4][5] الذي عاش في الفترة ما بين 1930–2017.
آلية التفاعل
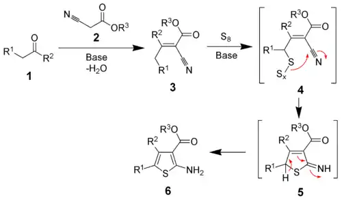
لم يتم كشف اللثام عن آلية التفاعل إلا بعد 30 سنة من اكتشاف التفاعل.[6] تتضمن الخطوة الأولى حدوث تكاثف كنوفيناغل بين الكيتون (1) وα-سيانو الإستر (2) للحصول على مركب وسطي مستقر (3). لا يزال دور الكبريت في عملية التحفيز غير معروفة؛ ولكن يقترح أن دوره يكون عبر تشكيل المركبين الوسطيين (4) و(5)؛ ثم بحدوث تفاعل تحلق وتشكل الصنو الموافق للناتج المطلوب (6).

وجد أن تعريض التفاعل إلى أشعة الأشعة المكروئية (أشعة المكرويف) يزيد من مردود التفاعل ويقلل من الزمن اللازم له.[7]
تحويرات
في إحدى تحويرات تفاعل غيفالد يصطنع مركب 3-أسيتيل-2-أمينوثيوفين ابتداءاً من مركب ديثيان وملح الصوديوم لمركب سيانو الأسيتون:[8]

طالع أيضاً
مراجع
- Gewald, K.; Schinke, E.; Böttcher, H. Chemische Berichte 1966, 99, 94-100.
- Sabnis, R. W. Sulfur Rep. 1994, 16, 1-17. (Review)
- John A. Joule, Keith Mills: Heterocyclic Chemistry, John Wiley & Sons, 5. Auflage (2010), p. 340, (ردمك 978-1-4051-3300-5).
- Bradford P. Mundy, Michael G. Ellerd, Frank G. Favaloro, Jr.: Name Reactions and Reagents in Organic Synthesis, John Wiley & Sons, 2. Auflage (2005) p. 306, (ردمك 0-471-22854-0).
- Christopher Hume: Applications of Multicomponent Reactions in Drug Discovery – Lead Generation to Process Development, p. 311−341, see p. 332−334, In Jieping Zhu, Huges Bienaymé: Multicomponent Reactions, Wiles-VCH Verlag, 2005, (ردمك 978-3-527-30806-4).
- Sabnis, R. W.; Rangnekar, D. W.; Sonawane, N. D. J. Heterocyclic Chem. 1999, 36, 333.
- Sridhar, M.; Raoa, R. M.; Babaa, N. H. K.; Kumbhare, R. M. Tetrahedron Lett. 2007, 48, 3171-3172. (doi:10.1016/j.tetlet.2007.03.052)
- Gernot A. Eller, Wolfgang Holzer, Molecules 2006, 11, 371-376 Online article. نسخة محفوظة 10 أغسطس 2017 على موقع واي باك مشين.
صور وملفات صوتية من كومنز
- بوابة الكيمياء