تكاثف كنوفيناغل
تكاثف كنوفيناغل (Knoevenagel condensation) هو تفاعل تكاثف في الكيمياء العضوية ينسب إلى مكتشفه الكيميائي إيميل كنوفيناغل. يصنف التفاعل كيميائياً على أنه تحوير من تفاعل التكاثف الألدولي.[1][2]
تكاثف كنوفيناغل هو تفاعل إضافة محبة للنواة (نكليوفيلية) لمركب ذي هيدروجين فعال إلى مجموعة كربونيل يليه تفاعل بلمهة (نزع ماء) للحصول على β،α-كيتون غير مشبع (إينون مترافق).

في هذا التفاعل تكون مجموعة الكربونيل إما من ألدهيد أو كيتون؛ والحفاز عبارة عن قاعدة ضعيفة مثل مركب أميني. يمكن أن يكون المركب الحاوي على الهيدروجين الفعال إما:[3]
- Z–CH2-Z أو Z–CHR–Z على سبيل المثال حمض المالونيك أو مالونات ثنائي الإيثيل أو حمض ملدروم أو أسيتو أسيتات الإيثيل أو سيانو حمض الأسيتيك.[4]
- Z–CHR1R2 على سبيل المثال نترو الميثان.
حيث Z مجموعة وظيفية ساحبة للإلكترونات، والتي يجب أن تكون فوية بالشكل الكافي لتسهل عملية نزع البروتون لتشكيل أيون الإينولات حتى في حال استخدام قاعدة متوسطة القوة. أما استخدام قاعدة قوية في هذا التفاعل يؤدي إلى التكاثف الذاتي للألدهيد أو الكيتون.
يحوي بعض من التفاعلات الكيميائية الاسمية في آليات تفاعلاتها على خطوة تكاثف كنوفيناغل مثل اصطناع هانتش للبيريدين وتفاعل غيفالد واصطناع فيست-بيناري.
تحوير دوبنر

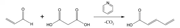
باستخدام مركبات المالونات يمكن أن يخسر ناتج تفاعل تكاثف كنوفيناغل جزيء ثنائي أكسيد الكربون في خطوة لاحقة. يعرف التفاعل باسم تحوير دوبنر.[5] تكون القاعدة عبارة البيريدين. على سبيل المثال، يتفاعل الأكرولين وحمض المالونيك في البيريدين ليعطي ترانس 4,2-حمض البنتاديينويك، الحاوي على مجموعة كربوكسيل واحدة.[6]
المراجع
- Jones, G. Organic Reactions 1967, 15.
- Emil Knoevenagel (1898). "Condensation von Malonsäure mit aromatischen Aldehyden durch Ammoniak und Amine" [Condensation of malonic acid with aromatic aldehydes via ammonia and amines]. Berichte der deutschen chemischen Gesellschaft. 31 (3): 2596–2619. doi:10.1002/cber.18980310308. مؤرشف من الأصل في 15 ديسمبر 2018. الوسيط
|CitationClass=تم تجاهله (مساعدة) - March, Jerry (1985), Advanced Organic Chemistry: Reactions, Mechanisms, and Structure (3rd ed.), New York: Wiley, ISBN 0-471-85472-7
- G. Jones (2004). "The Knoevenagel Condensation". Organic Reactions. doi:10.1002/0471264180.or015.02. الوسيط
|CitationClass=تم تجاهله (مساعدة) - O. Doebner (1902). "Ueber die der Sorbinsäure homologen, ungesättigten Säuren mit zwei Doppelbindungen". Berichte der deutschen chemischen Gesellschaft. 35: 1136–36. doi:10.1002/cber.190203501187. الوسيط
|CitationClass=تم تجاهله (مساعدة) - Peter J. Jessup, C. Bruce Petty, Jan Roos, and Larry E. Overman(1988)."1-N-Acylamino-1,3-dienes from 2,4-pentadienoic acids by the curtius rearrangement: benzyl trans-1,3-butadiene-1-carbamate". Org. Synth.; Coll. Vol. 6: 95.
- بوابة الكيمياء
- بوابة كيمياء عضوية